differentiation Flashcards

(58 cards)

1
Q

d/dx

A

differentiation symbol

How well did you know this?
1
Not at all
2
3
4
5
Perfectly
2
Q
A

polynomial

How well did you know this?
1
Not at all
2
3
4
5
Perfectly
3
Q

d/dx(polynomial)

A
How well did you know this?
1
Not at all
2
3
4
5
Perfectly
4
Q
A
How well did you know this?
1
Not at all
2
3
4
5
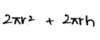
Perfectly
5
Q

d/dx(X)

A

1

How well did you know this?
1
Not at all
2
3
4
5
Perfectly
6
Q

d/dx(1/x)

A

-1/x^2

How well did you know this?
1
Not at all
2
3
4
5
Perfectly
7
Q

d/dx(-1/x)

A

1/x^2

How well did you know this?
1
Not at all
2
3
4
5
Perfectly
8
Q

d/dx(3)

A

0

How well did you know this?
1
Not at all
2
3
4
5
Perfectly
9
Q

1/ square root of x

A

x^-1/2

How well did you know this?
1
Not at all
2
3
4
5
Perfectly
10
Q

1/x can be written as

A

x^-1

How well did you know this?
1
Not at all
2
3
4
5
Perfectly
11
Q

d/dx(ax+b)^n

A

n(ax+b)^n-1 * a

How well did you know this?
1
Not at all
2
3
4
5
Perfectly
12
Q

d/dx( square root ax+b)

A

1/2square root ax+b * a

How well did you know this?
1
Not at all
2
3
4
5
Perfectly
13
Q

dy/dx is AKA

A

f’(X)

How well did you know this?
1
Not at all
2
3
4
5
Perfectly
14
Q

tangent and normal are

A

perpendicular to eachother m1 * m2 = -1

How well did you know this?
1
Not at all
2
3
4
5
Perfectly
15
Q

equation of a line

A

y-y1=m(x-x1)

How well did you know this?
1
Not at all
2
3
4
5
Perfectly
16
Q

the chain rule is used for

A

3 variables

How well did you know this?
1
Not at all
2
3
4
5
Perfectly
17
Q

d/dt

A

rate of change

How well did you know this?
1
Not at all
2
3
4
5
Perfectly
18
Q

if y= f(X)

A

dy/dt= dy/dx * dx/dt

How well did you know this?
1
Not at all
2
3
4
5
Perfectly
19
Q

if v=f(l)

A

v/t = v/l * l/t so v=l^3

How well did you know this?
1
Not at all
2
3
4
5
Perfectly
20
Q

if A=f(r)

A

A/t= A/r * r/t so A=Pir^2

How well did you know this?
1
Not at all
2
3
4
5
Perfectly
21
Q

if dy/dt is positive

A

its said that y increases at t increases

How well did you know this?
1
Not at all
2
3
4
5
Perfectly
22
Q

if dy/dt is negative

A

its said that y decreases as t decreases

How well did you know this?
1
Not at all
2
3
4
5
Perfectly
23
Q

dy/dt=

A

rate of change of y

How well did you know this?
1
Not at all
2
3
4
5
Perfectly
24
Q

the gradient of stationary points

25
stationary value
y coordinate of turning point
26
stationary point
min and max turning point
27
to find nature of stationary points and values
use second deravitive
28
d^2y/dx^2
second derivative AKA f''(x)
29
if d^2y/dx^2 is +ve
its a min point
30
if d^2y/dx^2 is -ve
max TP
31
sphere volume
32
SA of a sphere
33
hemisphere volume
34
closed hemisphere SA
35
open hemisphere SA
36
cube volume
l^3
37
cube surface area
6l^3
38
cuboid volume
l*b*h
39
cuboid closed SA
40
cuboid open SA
41
cone volume
42
cone curved surface area
43
cone surface area
44
slant length of cone=
square root h^2 +r^2
45
cone
46
for similar cones
47
cylinder volume
48
cylinder curved surface area
49
cylinder total closed surface area
50
cylinder open total surface area
51
prism volume
52
prism TSA
53
prism perimeter
54
prism
55
pyramid volume
1/3 * base area * hieght
56
pyramid TSA
57
58