Quadratics Flashcards

(27 cards)

1
Q

if a is +ve

A

open up curve U

How well did you know this?
1
Not at all
2
3
4
5
Perfectly
2
Q

if a is -ve

A

open down curve ^

How well did you know this?
1
Not at all
2
3
4
5
Perfectly
3
Q
A

quadratic form

How well did you know this?
1
Not at all
2
3
4
5
Perfectly
4
Q

quadratic formula

A
How well did you know this?
1
Not at all
2
3
4
5
Perfectly
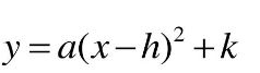
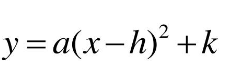
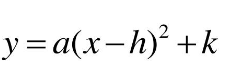
5
Q
A

completing the square form

How well did you know this?
1
Not at all
2
3
4
5
Perfectly
6
Q

exact form

A

keep as fraction

How well did you know this?
1
Not at all
2
3
4
5
Perfectly
7
Q

h=

A

h=b/2a

How well did you know this?
1
Not at all
2
3
4
5
Perfectly
8
Q

k=

A

k=c-b^2/4a

How well did you know this?
1
Not at all
2
3
4
5
Perfectly
9
Q
A
How well did you know this?
1
Not at all
2
3
4
5
Perfectly
10
Q
A
How well did you know this?
1
Not at all
2
3
4
5
Perfectly
11
Q
A
How well did you know this?
1
Not at all
2
3
4
5
Perfectly
12
Q
A
How well did you know this?
1
Not at all
2
3
4
5
Perfectly
13
Q

if its a root

A

always put +-

How well did you know this?
1
Not at all
2
3
4
5
Perfectly
14
Q

points of intersection

A

equate

How well did you know this?
1
Not at all
2
3
4
5
Perfectly
15
Q

x^2 x x^4

A

= x^6

How well did you know this?
1
Not at all
2
3
4
5
Perfectly
16
Q

if ax^4 + bx^2 + c =0

17
Q

if ax^6 + bx^3 +c=0

A

sub u=square root of x

18
Q

discriminant

19
Q

if b^2-4ac>0

A

2 distinct real roots, graph crosses the x-axis at 2 distinct points

20
Q

if b^2-4ac=0

A

one real root is sometimes called 2 repeated roots or equal roots

21
Q

if b^2-4ac<0

A

then no real roots or graph does not touch the x axis at all

22
Q

x^1/2=u

23
Q

x^1/3=u

24
Q

x^1/4=u

25
area of a rectangle=
l*w
26
when they say no sattionary point it basically means
no real roots so b^2-4ac<0
27
square root of x * square root of x
x