What is the main idea of numerical differentiation?
Approximate f by an interpolating polynomial and differentiate that
If we use a linear Lagrange polynomial, differentiate and evaluate at x = x0 what formual do we get?

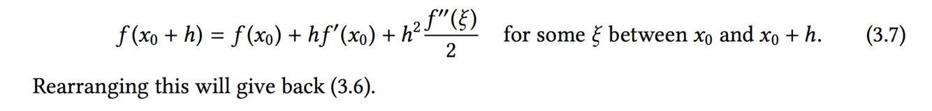
What is the forward difference equation?

What is the truncation error for our forward difference approximation?

What is another way to estiamte the truncation error of finite difference formula?
Use Taylors theorem and

What do we say if the truncation error if it is proportional to h?
We say the approximation is linear or first order
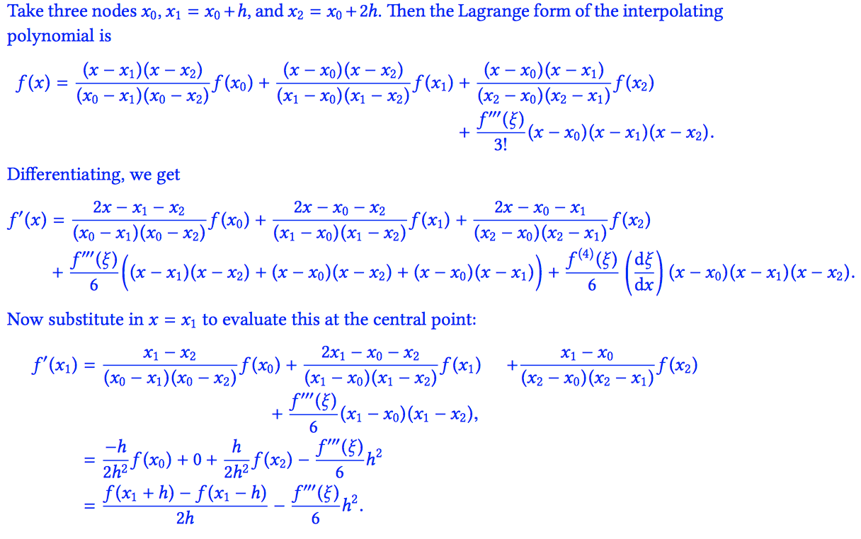
What three nodes do we use for central difference?
x0, x1 = x0 + h, x2 = x0 + 2h
What are the two types of finite differences?
Forward and Backward
What do you have to set x equal to get the forward difference?
x0
What do you have to set x equal to to get the backward difference?
x1
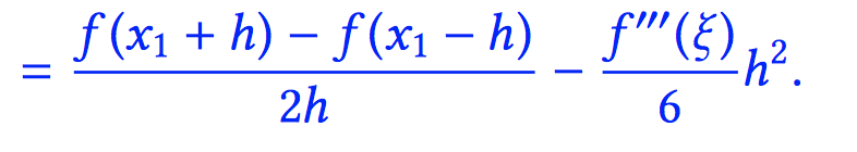
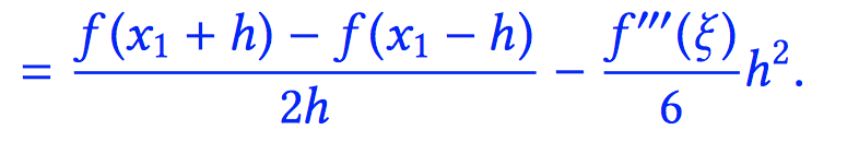
Prove that the central difference approximation of f’(x1) is the following


What is another way to write the central difference in the following?

f(x2) - f(x1) / 2h
What is a proboem with numerical differentiation?
It involes subtraction of nearly equal numbers - which leads to rounding errors.
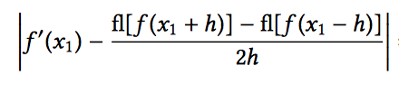
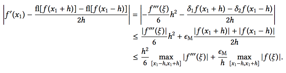
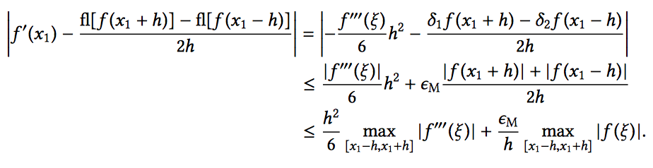
Suppse for th central difference methof we have the following rounded versions of f(x1 ± h), show what the upper bound of the followinf is.


What are the two errors called in the following upper bound?

In central differences how does the truncation and error change as h ➝ 0?
Differentiating Lagrange polynomialsis tedious, what other formula to we use instead to find higher-order formulae?
Richardson extrapolation.
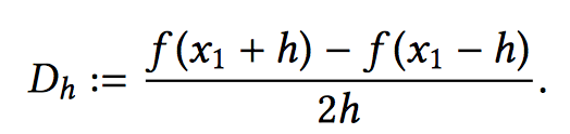
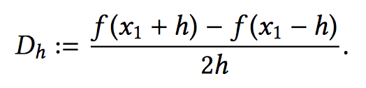
What is the equation for Dh using the central-difference formula?

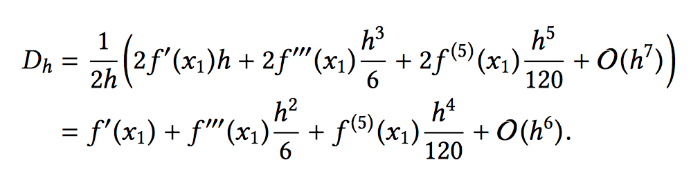
What is the equation if we use Taylor’s theorem to expand the truncation erros in f(x ± h).

If we substiute the following equation into the following equation for Dh what equation do we get.


Once we have found Dh what is the main idea of Richardson extrapolation.
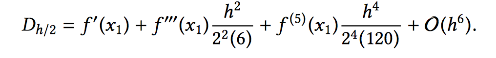
To repreat with step size h/2.
What is the final formula for Dh/2?

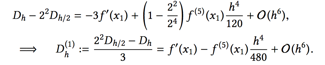
What equation do you get if you do the following?


Why do we the following calcualtion?

To eliminate the h2 term.