What is the main question in polynomial interpolation?
How do we represent mathematical functions on a computer?
Why are polynomials easy to store?
Only need to store n + 1 coefficients
What is the Weierstrass Approximation Theorem?

What is interpolation?
Finding a pn(xi) = f(xi) at a finite set of points xi called nodes. Sometimes we also require the derivatives to match.
What is the simplest interpolating polynomial?
Truncated taylor series
Why is a truncated Taylor series the simplest interpoalting polynomial?
It uses only a single node x0
What is Taylor’s Theorem?

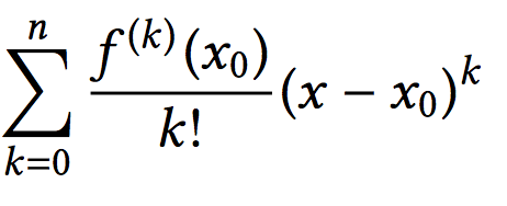
What is the following known as?

Taylor polynomial of degree n
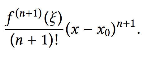
What is the remainder in Taylor’s theorem called?
Lagrange form of the remainder
What is the formula for the Lagrange form of the remainder?

What can we use to bound the error of an approximation using Taylor’s theorem?
The Lagrange remainder
What is truncation error?
The error that arises from approxiamting f with a truncated series, rather than due to rounding
How does truncation error change as you use more terms?
It decreases
What is Rolle’s Theorem?

Prove the Lagrane form of the remainder.

For general n, what are the polynomial interpolation conditions?

What is another way to write the following conditions?


What is the following called?

The Vandermonde matrix
What is the Vandermonde matrix?

What is the determinant of the Vandermonde matrix?

Prove that the determinant of the Vandermonde matrix is the following.

Problem Sheet
What is the existence/uniqueness theorem for interpolating polynomials?

Prove the unique part of the following theorem.


What is one way to solve the Vandermode matrix?
Gaussian elimination