Diving Response 1 Flashcards

Mastery (7 cards)

1
Q

Average person, what causes breathing? what else can cause it?
* Breath-hold durations range from 15-20 seconds and rarely exceed 2-minutes

how does the graph change for professional free divers

There are changes in … during free diving

Hydrostatic Pressure
* The deeper you dive the …
Water Temperature
* Cooler temperatures change …
* Peripheral …

A

PaCO2 (arterial carbon dioxide tension). Also Decreased PaO2 (arterial oxygen tension)

how does the graph change for professional free divers

There are changes in metabolism during free diving

Hydrostatic Pressure
* The deeper you dive the more pressure you experience
Water Temperature
* Cooler temperatures change metabolism
* Peripheral vasoconstriction

How well did you know this?
1
Not at all
2
3
4
5
Perfectly
2
Q

EXAMMM

P1V1 = P2V2 Boyle’s Law
as pressure goes up, lung volume decreases

there are physical limitations into how we can divert blood to the …, as a result of the … under intense pressure

… pressure on the chest cavity is increased as one descends
* Compressive force against the … becomes so large that the inspiratory muscles cannot … to breathe … enough to …

A

there are physical limitations into how we can divert blood to the central region, as a result of the chest deformation under intense pressure

Hydrostatic pressure on the chest cavity is increased as one descends
* Compressive force against the chest cavity becomes so large that the inspiratory muscles cannot overcome the external pressure to breathe deep enough to exchange gases

every 10 metres down the pressure doubles, the metres, add 1 and put on denomenator
10m = 1/2 volume
20m = 1/3 volume
30m = 1/4 volume
40m = 1/5 volume

How well did you know this?
1
Not at all
2
3
4
5
Perfectly
3
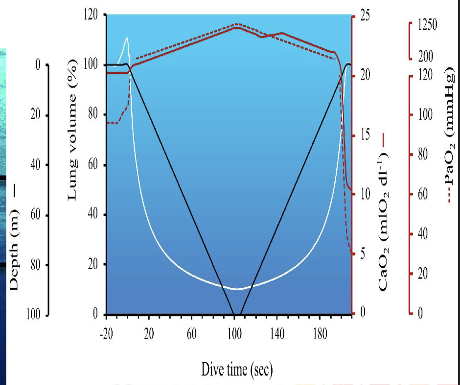
Q

excessive pressure on the lung and chest during apnea:
1. … collapse with formation of atelectasis - …
2. Infiltration of … from the … into the airways and alveolar space. increased…
3. Disruption of the alveolar-capillary membrane with … into the empty spaces
These changes in lung function are indicative of …

Henry’s law: At constant temperature, the amount of gas absorbed is proportional to the … of the particular gas and their …

at higher pressures, the … will move into the … Vice versa

Explain the graph
when is the most dangerous

A

excessive pressure on the lung and chest during apnea:
1. Alveolar collapse with formation of atelectasis - complete or partial collapse of the entire lung (or lobe)
2. Infiltration of liquid from the capillaries into the airways and alveolar space. Increased hydrostatic pressure
3. Disruption of the alveolar-capillary membrane with bleeding into the empty spaces
These changes in lung function are indicative of pulmonary edema

Henry’s law: At constant temperature, the amount of gas absorbed is proportional to the solubility coefficient of the particular gas and their partial pressure

at higher pressures, the gas will move into the liquid. Vice versa

More O2 into blood without breathing. the increased pressure moves O2 into the blood. Tells the body we have enough O2

5m away from surface, everything plummets including O2 and not enough nutrients to the brain, All receptors realize they were lied to and dont have any nutrients

How well did you know this?
1
Not at all
2
3
4
5
Perfectly
4
Q

ascend while holding breath, the air … as the water pressure …
* This can … alveoli and bronchial passages.
* … air may … the lung and cause a …

  • Arterial gas embolisms occur when … are forced into the bloodstream through alveoli, resulting in … when the bubbles reach …
  • A cerebral arterial gas embolism results if the …

Decompression sickness produces symptoms related to the effects of bubbles on tissues, …, …, …, skin, and the …

The risk of arterial gas embolism development can be decreased by avoidance of …, … ascent, and diving with … or disease.

Risk of decompression sickness is decreased by reduction of exposure of inert gas … (…) or … decompression.
* Stop times at … intervals during ascent according to the maximum dive depth and bottom time …

A

ascend while holding breath, the air expands as the water pressure decreases
* This can damage the alveoli and bronchial passages.
* Expanding air may rupture the lung and cause a pneumothorax

  • Arterial gas embolisms occur when nitrogen bubbles are forced into the bloodstream through alveoli, resulting in blockages when the bubbles reach smaller blood vessels
  • A cerebral arterial gas embolism results if the air embolizes in the brain

Decompression sickness produces symptoms related to the effects of bubbles on tissues, spinal cord, brain, lungs, skin, and the inner ear.

The risk of arterial gas embolism development can be decreased by avoidance of breath holding, rapid ascent, and diving with pulmonary infections or disease.

Risk of decompression sickness is decreased by reduction of exposure of inert gas before (higher oxygen concentrations) or during decompression.
* Stop times at 3 m intervals during ascent according to the maximum dive depth and bottom time.

How well did you know this?
1
Not at all
2
3
4
5
Perfectly
5
Q

🫁 Snorkel adds … → more air volume …
📏 Longer/wider snorkel = more …→ you …
💨 Must increase … (breathe …) → otherwise less fresh air reaches …
⚠️ If tidal volume isn’t increased → alveolar ventilation drops (less …, more …).
✅ Ideal snorkel size: about … cm long and … cm diameter

explain adding the snorkel and how it changes TV, dead space, dead space ventilation, and therefore alveolar ventilation

A

🫁 Snorkel adds dead space → more air volume that doesn’t reach the lungs.
📏 Longer/wider snorkel = more dead space → you rebreathe stale air.
💨 Must increase tidal volume (breathe deeper) → otherwise less fresh air reaches alveoli.
⚠️ If tidal volume isn’t increased → alveolar ventilation drops (less oxygen, more CO₂).
✅ Ideal snorkel size: about 38 cm long and 2 cm diameter

Adds dead space
Increases dead-space ventilation
No alveolar ventilation
No air gets to the alveoli

How well did you know this?
1
Not at all
2
3
4
5
Perfectly
6
Q

DIVE RESPONSE - seen in … as a protective mechanism when we are rendered unbreathing by underwater submersion

four independent reflex behaviors:
* an …
* a parasympathetically mediated …
* a sympathetically mediated …
* … contraction

This reflex is triggered by the innervation of the … nerve
* WHY?

A

DIVE RESPONSE - seen in all vertebrates as a protective mechanism when we are rendered unbreathing by underwater submersion

four independent reflex behaviors:
* an apnea
* a parasympathetically mediated bradycardia
* a sympathetically mediated peripheral vasoconstriction
* splenic contraction - contains lots of RBCs, constrict to get RBCs out

This reflex is triggered by the innervation of the TRIGEMINAL nerve
* WHY? - when the whole face is covered by water, no air can enter the body

How well did you know this?
1
Not at all
2
3
4
5
Perfectly
7
Q

Input to Central Nervous System Centres

Facial Cold Receptors
Atrial Receptors
Baroreceptors
Pulmonary Stretch Receptors
Carotid Chemoreceptors

What centre does it go to, and what does it result in

A
How well did you know this?
1
Not at all
2
3
4
5
Perfectly