Echographie Flashcards

(28 cards)

1
Q

Que se passe-t-il à l’énergie de l’onde lors d’un changement de milieu parfait ?

A

Une partie est transmise et une autre est réfléchie

How well did you know this?
1
Not at all
2
3
4
5
Perfectly
2
Q

Quelle est la variation de la fréquence temporelle de l’onde lors du changement de milieu parfait ?

A

Y en a pas, d’un milieu à l’autre, elle est identique

How well did you know this?
1
Not at all
2
3
4
5
Perfectly
3
Q

Quel est alors le changement dans le changement de milieu parfait ?

A

Les célérités sont différentes dans les 2 milieux donc il y a changement de longueur d’onde

How well did you know this?
1
Not at all
2
3
4
5
Perfectly
4
Q

Dans la réflexion, que vaut les angles ?

A

L’angle d’émergence et l’angle d’incidence sont identiques

How well did you know this?
1
Not at all
2
3
4
5
Perfectly
5
Q

Qu’induit le changement d’impédance Z ?

A

Un changement de vitesse des oscillations qui induit un changement d’énergie cinétique des oscillations, donc de puissance transportée par l’onde

How well did you know this?
1
Not at all
2
3
4
5
Perfectly
6
Q

A quoi est proportionnelle la vitesse du son c (mirage) ?

A

A la racine de la température

How well did you know this?
1
Not at all
2
3
4
5
Perfectly
7
Q

Quand est-ce que la réflexion totale est possible ?

A

Si c2 > c1

How well did you know this?
1
Not at all
2
3
4
5
Perfectly
8
Q

Quelles sont les applications de cette réflexion totale ?

A

Fibre optique et endoscope : enveloppe avec c2 plus grande que c1 au coeur de la fibre : rayons piégés dans la fibre en réflexion totale

How well did you know this?
1
Not at all
2
3
4
5
Perfectly
9
Q

Quelles sont les formules des ondes incidente, réfléchie et transmise selon

A
How well did you know this?
1
Not at all
2
3
4
5
Perfectly
10
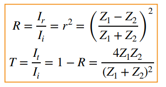
Q

Quelles sont les formules de coefficients de réflexion et transmission en intensité ?

A
How well did you know this?
1
Not at all
2
3
4
5
Perfectly
11
Q

Comment se comporte l’onde par un changement de milieu parfait d’impédances différentes ?

A

Une partie est transmise et une autre est réfléchie

How well did you know this?
1
Not at all
2
3
4
5
Perfectly
12
Q

Comment se comporte l’onde par un changement de milieu parfait d’impédances identiques ?

A

C’est une transmission complète, c’est finalement pas de changement de milieu

How well did you know this?
1
Not at all
2
3
4
5
Perfectly
13
Q

Quelles sont les fréquences d’impulsions d’ultrasons des échographies ?

A

de 3 à 15 MHz parfois jusqu’à 50 ou 100 MHz pour des détails fins

How well did you know this?
1
Not at all
2
3
4
5
Perfectly
14
Q

En quoi consiste l’échographie ?

A

Une propagation d’impulsions très brèves (< 1 µs) et retour d’échos (après typiquement environ 0,1 ms)

How well did you know this?
1
Not at all
2
3
4
5
Perfectly
15
Q

Quel est le but de l’échographie ?

A

La localisation selon la durée aller retour de l’écho

How well did you know this?
1
Not at all
2
3
4
5
Perfectly
16
Q

Quelle est la célérité de l’onde dans les os, dans les tissus et dans l’air interne ?

17
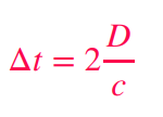
Q

Que vaut la durée Δt dans le sens où les célérités peu différentes dans les tissus mous ?

18
Q

Quelles sont les différentes structures selon l’écho ?

A
  • structure hypoéchogène : écho faible
  • structure anéchogène : sans écho
  • structure hyperéchogène : écho puissant
19
Q

Que se passe-t-il dans un changement de milieu non parfait de l’onde ?

A

Une perte de puissance, perte d’intensité

20
Q

Que vaut le coefficient d’atténuation en intensité en fonction de la longueur caractéristique d’absorption ?

21
Q

Quel est le type de décroissance de l’intensité ?

A

C’est une décroissance exponentielle de l’intensité selon la longueur x

22
Q

Quelle est la formule de l’intensité en fonction de la longueur x traversée ?

23
Q

Comment choisir la formule d’intensité entre les deux ?

24
Q

Quel est le type de décroissance du niveau sonore ?

A

C’est une décroissance linéaire du niveau sonore

25
Quelle est la formule du niveau sonore en fonction de la longueur x ?
26
Que vaut alors le niveau sonore en fonction du coefficient d'atténuation A en dB/m ?
27
Comment varie l'atténuation avec la fréquence ?
Elle augmente avec la fréquence d'où le choix de la fréquence d'exploration
28
Quelles sont les utilisations de l'absorption selon la fréquence ?
- pour pénétrer plus ou moins profondément - pour avoir une résolution spatiale suffisante détails en λ plus fins à haute fréquence mais plus facilement absorbées