Electrostatique Flashcards

(45 cards)

1
Q

Quelle est la formule de la force du champ gravitationnel sur un objet de masse m ?

A
How well did you know this?
1
Not at all
2
3
4
5
Perfectly
2
Q

Que vaut la norme du vecteur champ gravitationnel g ?

A

ou N/kg

How well did you know this?
1
Not at all
2
3
4
5
Perfectly
3
Q

Qu’est-ce que la charge totale Q ?

A

C’est la ou les sources du champs

How well did you know this?
1
Not at all
2
3
4
5
Perfectly
4
Q

Qu’est-ce que le vecteur E ?

A

C’est le vecteur champ électrique créé par la charge totale Q ?

How well did you know this?
1
Not at all
2
3
4
5
Perfectly
5
Q

Quel est le lien entre le vecteur E et le vecteur de la force de Coulomb ?

A

Le vecteur E donne l’intensité, la direction et le sens du vecteur de la force de Coulomb

How well did you know this?
1
Not at all
2
3
4
5
Perfectly
6
Q

Quelle est la formule du vecteur de la force de Coulomb ?

A
How well did you know this?
1
Not at all
2
3
4
5
Perfectly
7
Q

Quelle est la formule du vecteur champ électrique E selon le vecteur unitaire ?

A
How well did you know this?
1
Not at all
2
3
4
5
Perfectly
8
Q

Dans quel sens est dirigé le vecteur champ électrique E et dans quelle direction ?

A

Du plus vers le moins (s’éloigne de la charge positive et rejoint la charge négative), ce sont des vecteurs radiants

How well did you know this?
1
Not at all
2
3
4
5
Perfectly
9
Q

Que vaut la formule du champ électrique total ?

A
How well did you know this?
1
Not at all
2
3
4
5
Perfectly
10
Q

Qu’est-ce que des lignes tangentes ?

A

Ce sont des lignes qui donnent la direction du champ en tout point du champ électrique et leur concentration spatiale indique l’intensité du champ

How well did you know this?
1
Not at all
2
3
4
5
Perfectly
11
Q

Qu’est-ce qu’un dipôle ?

A

C’est un couple de charges égales et opposées, à faible distance

How well did you know this?
1
Not at all
2
3
4
5
Perfectly
12
Q

Quelles sont les caractéristiques du vecteur moment dipolaire p ?

A

Ce vecteur a pour direction et sens : de la charge négative vers la charge positive, sa norme est égale au produit de la charge avec la distance entre les charges

How well did you know this?
1
Not at all
2
3
4
5
Perfectly
13
Q

Qu’est-ce qu’un condensateur ?

A

C’est un ensemble de 2 plaques chargées uniformément et de charges opposées

How well did you know this?
1
Not at all
2
3
4
5
Perfectly
14
Q

Qu’est-ce que λ ?

A

C’est la densité linéique de charge de formule :

How well did you know this?
1
Not at all
2
3
4
5
Perfectly
15
Q

Qu’est-ce que σ ?

A

C’est la densité surfacique de charge de formule :

How well did you know this?
1
Not at all
2
3
4
5
Perfectly
16
Q

Quelles sont les caractéristiques d’un champ électrique d’une plaque chargée ?

A

Le champ électrique est perpendiculaire à la plaque et est uniforme de part et d’autre de la plaque tant qu’on ne s’y éloigne pas trop

How well did you know this?
1
Not at all
2
3
4
5
Perfectly
17
Q

Que vaut les champs électriques d’un condensateur ?

A

Les champs électriques en dehors des plaques sont nuls alors que le champ électrique entre les plaques vaut le double

How well did you know this?
1
Not at all
2
3
4
5
Perfectly
18
Q

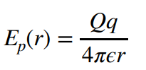
Quelle est la formule de l’énergie de potentielle électrique à une distance r de la charge Q ?

A
How well did you know this?
1
Not at all
2
3
4
5
Perfectly
19
Q

Que se passe-t-il lorsque la charge se déplace d’un point r1 à r2 tel que r2 > r1 ?

A

L’énergie potentielle électrique de la charge diminue, on perd de l’énergie, on obtient donc une variation énergétique négative et par conséquent un travail moteur, étant positif

20
Q

Qu’est-ce que le potentiel V ?

A

C’est l’énergie potentielle d’une charge unité placée dans le champ E

21
Q

De quoi dépend le potentiel électrique V ?

A

Il dépend de la position et des charges sources

22
Q

Quelle est l’unité du potentiel électrique V ?

A

C’est le Volt ou en d’autres termes : J/C

23
Q

Quelle est la formule de l’énergie potentielle à une distance r donnée en fonction du potentiel électrique V ?

24
Q

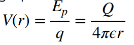
Quelle est donc la formule du potentiel électrique V à une distance donnée r ?

25
Que vaut la variation d'énergie potentielle en fonction du potentiel électrique ?
26
Que vaut l'énergie potentielle totale ?
27
Quelle est la formule du potentiel total électrique ?
28
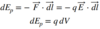
Quelle est la formule de la variation d'énergie potentielle pour un déplacement dl ?
29
Que vaut la norme du champ électrique E en fonction de la différentielle de potentiel électrique dV ?
La norme du champ électrique E est l'opposé de la dérivé spatiale du potentiel électrique, donc de formule :
30
Que signifie que le champe E descend les potentiels ?
Cela signifie que le vecteur du champ électrique traverse les potentiels dans l'ordre décroissant, ce qui signifie que les potentiels électrique avec la valeur absolue la plus grande sont les plus proches de la charge
31
Qu'est ce qu'une surface équipotentielle ?
C'est une surface d'égale énergie potentielle perpendiculaire aux lignes de champ
32
Quelle est la formule de la capacité en fonction de la charge Q ?
en Farads
33
Que dépend C et quelle est donc l'autre formule de la capacité ?
C ne dépend que de la géométrie et de la permittivité ε
34
Que se passe-t-il quand la valeur absolue du potentiel de la membrane est inférieur du potentiel d'équilibre d'un ion ?
Il n'y a pas assez de champ électrique pour équilibrer la diffusion (loi de Fick) donc l'ion va se diriger selon la loi de diffusion et inversement
35
Quelle est la formule du potentiel membranaire au repos ?
36
Comment se propage le potentiel d'action ?
37
Que vaut le potentiel électrique à une distance r du centre du dipôle ?
38
Quelle est la valeur du champ E en dehors de la membrane au repos ?
Elle est nulle
39
Que provoque l'avancement du front de dépolarisation ?
Il provoque l'apparition d'un bref dipôle qui avancepar la superposition de 3 états
40
Qu'induit l'onde de polarisation/dépolarisation des myocytes du coeur ?
Il induit un dipôle qui tourne en 3D selon la phase cardiaque
41
Quels sont les 6 mesures de projection du dipôle dans le plan frontal ?
42
Quels sont les points thoraciques pour avoir la projection dans le plan transversal ?
43
Quelles sont les 3 mesures de différence de potentiel dans le plan frontal du corps et les différences de potentiel entre 2 points ?
La projection du dipôle sur le côté ayant pour extrémités les points d'intérêt
44
Quelle est le différentiel de potentiel entre sommet et point médian ?
Les projections de p selon les vecteurs pointant du coeur vers L, R et F
45
Comment vérifier l'état cardiaque lié à la direction du vecteur p ?
En calculant les différents produits scalaires entre le vecteur p et les vecteurs des différentes mesures du plan frontal