Not all enzymes exhibit these specificities
Substrate specificity: only bind & react a single substrate/group of substrates
Reaction specificity: only catalyze one type of reaction
Tissue specificity, others are ubiquitous
How do enzymes cause reactions to reach quilibrium more quickly?
they accelerate the rate without changing the thermodynamics
How do enzymes accelerate rxn rates?
They form weak bonds (hydrogen, hydrophobic, ionic, vdw) between the enzymes and the substrate that puts the substrate in a favorable position for hte reaction
If a reaction is to proceed from substrate to product, it’s thermodynamically favorable and the ground state of the ___ is lower than that of the ___.
Product’s ground state is lower than that of the substrate

Enzymes lower
the energy required to achieve the transition state

Change in free energy of activation(delta G*)- what is it and how do enzymes impact it?
The change in E required to reach the transition state
Enzymes lower it
deltaG‘o is the total change in the reaction from substrate, through transition state, and to product.
Favorable reactions have a
negative deltaGo’
Transition state analogues as pharmacological agents- how do they work and what are 2 examples?
May bind the enzyme more tightly than the actual substrate o product –> can act as competitive inhibitors
<strong>HIV protease inhibitors</strong>
<strong>Tamiflu</strong> on neuraminidase
The most important reaction for metabolism is done by what class of enzymes? What does it do?
Oxidoreductases transfer electrons (H- or H atoms)
Oxidation-reduction
change in electron density around carbon, nitrogen, and sulfur
An atom that gained electrons is
reduced
OIL RIG
An atom that lost electrons is
oxidized
OIL RIG
Name some electron carriers

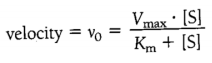
Velocity
The RATE (unit per time) of appearance of P or disappearance of S
Initial velocity (v0 or vi)
velocity at the beginning of an enzyme-catalyzed reaction at time zero
This exhibits the “true” rate of reaction before the substrate becomes limiting
Describe the relationship between V0 and [enzyme]
V0 increases linearly with enzyme concentration
note: Reaction rate decreases (curves on the graph) once the enzyme depletes the substrate pool

Why does the left graph flatten out? Why does the right graph flatten out?

The left graph plots velocity - it’s reaching equilibrium.
The right graph plots initial velocity - enzymes are becoming saturated with substrate, so you’ve already reached Vmax
Vmax
The velocity at infinitely high [substrate], when all enzymes are occupiied in the E-S complex

Km
the [substrate] at which velocity is 1/2 maximal.
Thus if [S]=Km, then V0=1/2Vmax

this is the michaelis menten equation. How does it change at low [substrate]? At high [substrate]?

At low substrate, the “+[S]” disappears. –> V0 = (Vmax/Km)[S]
At high substrate, V0=Vmax
Relationship between Km and affinity
Lower Km = high enzyme affinity
Hexokinase I in the brain/muscle
vs
Hexokianse IV in the liver
Hexokinase I has a much lower Km for glucose –> high affinity for glucose –> readily saturated with glucose to phosphorylate it.

Kcat/turnover number
kcat = Vmax/[total enzyme]
It is a rate constant = the number of substrate converted to product each second on a single enzyme when the enzyme is saturated with substrate
in sec-1
Competitive inhibition
Inhibitor binds the active site, thus blocking the substrate from binding so catalysis can’t occur
Reverse by simply increasing [S]