Epiphany Flashcards

(25 cards)

1
Q

Define a Toffoli gate

A

CCNOt

How well did you know this?
1
Not at all
2
3
4
5
Perfectly
2
Q

Define landauer’s principle

A
How well did you know this?
1
Not at all
2
3
4
5
Perfectly
3
Q

Define a UGS

A
How well did you know this?
1
Not at all
2
3
4
5
Perfectly
4
Q

Give a reversible UGS

A
How well did you know this?
1
Not at all
2
3
4
5
Perfectly
5
Q

Give two ways to compute the gcd

A
How well did you know this?
1
Not at all
2
3
4
5
Perfectly
6
Q

Give the common complexity classes

A
How well did you know this?
1
Not at all
2
3
4
5
Perfectly
7
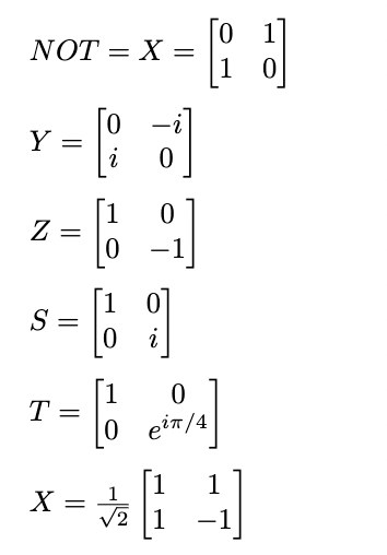
Q

Give common 1 qubit gates

A
How well did you know this?
1
Not at all
2
3
4
5
Perfectly
8
Q

Give common 2 qubit gates

A
How well did you know this?
1
Not at all
2
3
4
5
Perfectly
9
Q

Can we break up a generic unitary operation?

A
How well did you know this?
1
Not at all
2
3
4
5
Perfectly
10
Q

Define a gray code

A
How well did you know this?
1
Not at all
2
3
4
5
Perfectly
11
Q

How can I write any 2x2 unitary

A
How well did you know this?
1
Not at all
2
3
4
5
Perfectly
12
Q

State the complexity of breaking up a unitary U

A
How well did you know this?
1
Not at all
2
3
4
5
Perfectly
13
Q

How can any single qubit unitary be written?

A
How well did you know this?
1
Not at all
2
3
4
5
Perfectly
14
Q

How can we measure a single qubit unitary?

A
How well did you know this?
1
Not at all
2
3
4
5
Perfectly
15
Q

Give the syndromes for correcting a single bit flip

A
How well did you know this?
1
Not at all
2
3
4
5
Perfectly
16
Q

Give the syndromes for Stene code

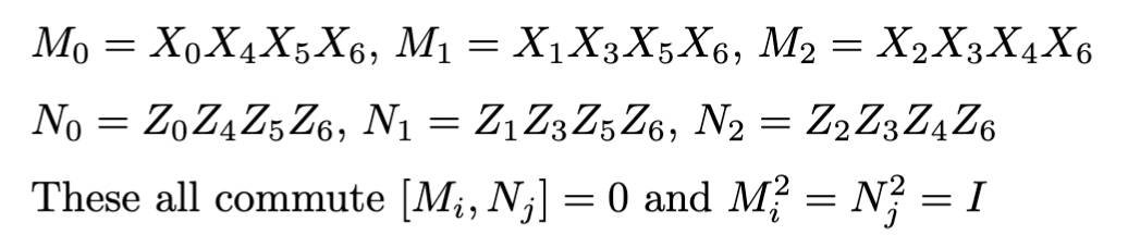
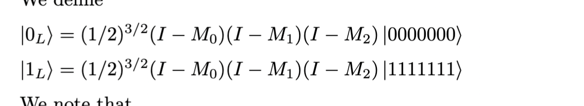
17
Q

Give 0 and 1 in the Stene code

18
Q

Define fault tolerant gate

19
Q

Define transversal gate

20
Q

Give logical gates in Stene Code

21
Q

State Simon’s Algorithm

22
Q

Give the QFT

23
Q

Give the QFT circuit for 3 qubits

24
Q

Reduce factoring to period finding

25
Give Shor's Algorithm for Period Finding