Michaelmas Flashcards

(31 cards)

1
Q

Give the properties of the inner product

A
How well did you know this?
1
Not at all
2
3
4
5
Perfectly
2
Q

What does a self adjoint operator represet?

A

Observables

How well did you know this?
1
Not at all
2
3
4
5
Perfectly
3
Q

What do unitary operators represent?

A

Time evolution

How well did you know this?
1
Not at all
2
3
4
5
Perfectly
4
Q

What do the eigenvalues of Hermitian operators represent

A

The outcomes of measurements

How well did you know this?
1
Not at all
2
3
4
5
Perfectly
5
Q

Give the formula for matrix elements

A

Aij = <i|A|j>

How well did you know this?
1
Not at all
2
3
4
5
Perfectly
6
Q

Give the exponential of a matrix

A
How well did you know this?
1
Not at all
2
3
4
5
Perfectly
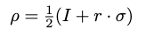
7
Q

Give the density operator formula

A
How well did you know this?
1
Not at all
2
3
4
5
Perfectly
8
Q

What is the trace of p^2

A
How well did you know this?
1
Not at all
2
3
4
5
Perfectly
9
Q

What is the trace of a pure state

A
How well did you know this?
1
Not at all
2
3
4
5
Perfectly
10
Q

What is the expectation value of A using the density operator

A
How well did you know this?
1
Not at all
2
3
4
5
Perfectly
11
Q

Give the bloch sphere definition of qubit

A
How well did you know this?
1
Not at all
2
3
4
5
Perfectly
12
Q

Give the bloch vector form of the density matrix

A
How well did you know this?
1
Not at all
2
3
4
5
Perfectly
13
Q

Give a qubit in terms of theta and phi

A
How well did you know this?
1
Not at all
2
3
4
5
Perfectly
14
Q

Give the formula for the distance between two qubits

A
How well did you know this?
1
Not at all
2
3
4
5
Perfectly
15
Q

Give basis for tensor product space

A
How well did you know this?
1
Not at all
2
3
4
5
Perfectly
16
Q

Give inner product on tensor product space

17
Q

What is the density matrix of a tensor product

18
Q

What is the density operator after measurement

19
Q

Define the partial traces

20
Q

Define the reduced density matrices

21
Q

When is the reduced density matrix pure?

22
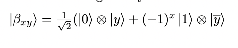
Q

Define a Bell state

23
Q

What is the no cloning theorem

A

You cannot clone an arbitrary quantum state

24
Q

What is super dense coding?

25
Outline Teleportation
26
Outline QKD
27
Give the CHSH inequality
28
Define the types of entropy
29
Define mutal info
30
Define the types of quantum entropy
31
Give schimdt number