In the following equation, which is the larger contributed to global warming?
CO2 (g) ⇔ CO2 (aq)
CO2 (aq)
draw a graph to represent the following equations and the species concentration over time?
Explain why the graph is the shape you’ve drawn it
As the graph plateaus, at this point the slopes of both lines become flat (horizontal) telling us that the concentration of both A + B and C + D are no longer changing. The reactions are now at equilibrium

Whats a system is dynamic equilibrium?
Draw a graph to explain this?
The rates of the forward and backward reactions are equal.
There is no overall change in the system, eben though both reactions continue to occur

If the rates of the forward and backwards reactions are the same. Does this mean that the concentrations are the same?
No, the concentrations could be different but the ratio between the two always remains the same
Whats the formula for the equilibrium constant ?
What does each part represent?
Kc= products/ reactants

What are the 2 things that you must remember about the Kc constant?
What state cannot be used in the Kc equation?
(s)
Whats the eqaution for the partial pressure of a gas?
What does each part represent?
PA = XA x p
PA= partial pressure of gas ‘A’
XA= Mole fraction of gas ‘A’
p= total pressure of the system
Whats the equation for the mole fraction?
XA= numbr of moles of substance A / Total number of moles of all substances
What must XA be less than?
1
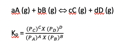
Whats the formula for KP?

When is Kc small/ large?

Tell me about the reaction quotient
whats its formula?

What are the factors that change the reaction at equilibrium?
Whats La Châteliers principle?
When a chemical system at equilibrium is disturbed, it responds by shifting the equilibrium composition in such a way to counteract the change
How does a catalyst effect the equilibrium?
A catalyst is a substance that speeds up a chemical reaction without being consumed. It increases both the forward and backward reactions to the same extent
A catalyst DOES NOT change the equilibrium constant, it remains unchanged
Whats Arrhenius definition of an acid and a base?
Acid: increases the concentration of H3O+ ions in solution
Base: increases the concentration of OH- ions in solution
How does an acid work…
An acid can work either by donating a proton, H+, to the solution or by removing OH- from a water molecules
HCl (aq) ⇔ H+ (aq) + Cl- (aq) [HCl ⇒ H+ + Cl-]
How does a base work…
Similarly, a base can work either by donating OH- to the solution, or by removing a proton from a water molecule
NH3 (aq) + H2O ⇔ NH4+ (aq) + OH- (aq)
Whats the definition of acids and bases, based on?
The definition of acids and bases is based on the equilibrium for ionic dissociation for water- it is a thermodynamic definition
For pure water at 298K, [H3O+] = 10-7 and so pH= 7.0
How is acids and bases defined under these conditions?
Acidic solution [H3O+] > 10-7 M PH<7
Basic solution [H3O+] < 10-7 M PH>7
the pH range for most experiments is from 0 (1M of H3O+ ions)
to 14 (1M of OH- ions in solution)
Label the conjugate acid and bases in the following equations…


What are buffers?
When the concentrations of the conjugate acid and base are approximately equal
Whats the acid dissociations formula?
