What is the functional group?
This explains the chemical and physical properties of compounds
Name the 26 functional groups…
Whats an alkyne?
It is an unsaturated molecule that contains a carbon-carbon triple bond
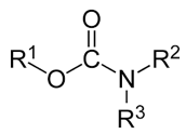
Whats a carbamate? Draw the general tertiary structure

Whats a lactone and draw its general structure?
it is a cyclic ester

Draw an ether

Draw a hemi-acetal group

Draw an acetal group

Draw a primary, secondary and tertiary amine and a quaternary ammonium salt

Draw an imine, and what type of base is it?
Imine is a schiff base

Draw a nitrile functional group

What is the name of the cyclic amide and draw it?
The cyclic amide is known as a lactam

Draw a primary, secondary, tertiary and cyclic amide.

Draw urea

Draw thiourea

Draw thiol

Draw thioether

Draw a disulphide bond

Draw a thioester

Draw phosphoric acid, pyrophosphoric acid and triphosphoric acid

What are the hetero atoms?
Whats biotin?
A CO2 carrier in the body