Qual a fórmula para o desvio médio absoluto?
O desvio médio absobulo é a soma dos desvios de cada parte.
Então, descobre-se a média.
Depois diminui cada parte pela média.
O DMA é a soma dos módulos da parte menos a média, dividido pelo número de módulos.

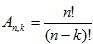
Em matemática, o que são Arranjos?
Os arranjos são caracterizados pela natureza e pela ordem dos elementos escolhidos.
Ex: Agrupamento do conjunto B = {2, 4, 6, 8}. :
{(2,4), (2,6), (2,8), (4,2), (4,6), (4,8), (6,2), (6,4), (6,8), (8,2), (8,4), (8,6)}
Veja que cada arranjo é diferente do outro. Portanto, são caracterizados:
Pela natureza dos elementos: (2,4) ≠ (4,8)
Pela ordem dos elementos: (1,2) ≠ (2,1)
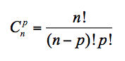
Em matemática, o que são Combinações?
Combinações são caracterizadas somente pela natureza dos elementos.
Ex.: em uma sala de 10 alunos, 5 serão escolhidos para um passeio.
Fórmula para o número de combinações possíveis:

Fórmula para o número de arranjos possíveis:

O que é Análise combinatória?
Análise combinatória é um estudo realizado na matemática e na lógica, responsável pela análise das possibilidades e das combinações. É uma forma de contagem.
Quais são as propriedades da Análise Combinatória?
Qual o princípio Fundamental da Contagem?
O princípio fundamental da contagem nos diz que sempre devemos multiplicar os números de opções entre as escolhas que podemos fazer.