O que é uma função afim?
Uma função definida por f: R→R chama-se afim quando existem constantes a, b que pertencem ao conjunto dos reais tais que f(x)= ax + b para todo x ∈ R.
A lei que define função afim é:

Como é o gráfico de uma função afim?
É uma reta não perpendicular ao eixo Ox.

Quais os casos particulares de função afim.
São casos particulares de função afim as funções lineares e constante.
O que é a função linear?
Uma função definida por f: R→R chama-se linear quando existe uma constante a ∈ R tal que f(x) = ax
para todo x ∈ R.
Como é o gráfico da função linear?
O gráfico da função linear é uma reta, não perpendicular ao eixo Ox e que cruza a origem do plano cartesiano.

O que é a função constante?
Uma função definida por f: R→R chama-se constante quando existe uma constante b R tal que f(x) = b
para todo x ∈ R.
Como é o gráfico de uma função constante?
O gráfico de uma função constante, é uma reta paralela ou coincidente ao eixo Ox q que cruza o eixo Oy no ponto de ordenada b.

O que são os coeficientes numéricos de uma função?
Cada coeficiente numérico de uma função caracteriza um elemento do gráfico dessa função.
O que é o coeficiente a de uma função?
É o coeficiente angular de uma reta. A é igual à tangente do ângulo que a reta faz com o eixo x.
Considerando uma função afim, se o coeficiente a > 0, então
a função é crescente.
Considerando uma função afim, se o coeficiente a < 0, então
a função é decrescente.
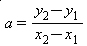
Qual a fórmula para cálculo do coeficiente a.

Quais os gráficos para função crescente e decrescente.

Em uma função afim, o que é coeficiente b?
É a ordenada do ponto em que o gráfico de f cruza o eixo das ordenadas,
ou seja, b = f(0).