Estrogens Flashcards

(31 cards)

1
Q

if pregnancy does not occur

A

corpus luteum degenerates
production estrogen and progesterone by corpus luteum declines
menstruation

How well did you know this?
1
Not at all
2
3
4
5
Perfectly
2
Q

if pregnancy occurs

A

fertilized egg/embryo secretes human chroionic gonadotropin (hCG)
hCG acts like LH to stimulate corpus luteum to produce progesterone in first trimester

How well did you know this?
1
Not at all
2
3
4
5
Perfectly
3
Q

physiological effects estrogens

A

development female parts, epiphyseal closure, growth hair, female body contours, pigmentation of skin, endometrial bleeding, decrease in rate of resorption, increase HDL decrease LDL, coagulability blood, mood

How well did you know this?
1
Not at all
2
3
4
5
Perfectly
4
Q

clinical uses estrogen

A

hormone replacement therapy
osteoporosis
hormonal contraception
replacement therapy hypogonadism

How well did you know this?
1
Not at all
2
3
4
5
Perfectly
5
Q

SAR: what at 3 position is essential for activity

A

hydroxyl

How well did you know this?
1
Not at all
2
3
4
5
Perfectly
6
Q

SAR: 3 hydroxyl can be masked as what?

A

ether derivative, ether hydrolyzed readily in vivo

How well did you know this?
1
Not at all
2
3
4
5
Perfectly
7
Q

SAR: is aromaticity in alpha ring required?

A

YES

How well did you know this?
1
Not at all
2
3
4
5
Perfectly
8
Q

SAR: is saturation in beta ring required?

A

no, its tolerated

How well did you know this?
1
Not at all
2
3
4
5
Perfectly
9
Q

SAR: 16 OH ____ activity

A

decreases

How well did you know this?
1
Not at all
2
3
4
5
Perfectly
10
Q

SAR: _____ ethynyl substituent blocks metabolism and allows for oral activity

A

17 alpha

How well did you know this?
1
Not at all
2
3
4
5
Perfectly
11
Q

SAR: 17 beta OH

A

required for activity, can be blocked by ester for drug delivery

How well did you know this?
1
Not at all
2
3
4
5
Perfectly
12
Q

17 alpha alkylated estrogens

A

prevent conversion to estrone, enhance oral bioavailability and increase halflife

How well did you know this?
1
Not at all
2
3
4
5
Perfectly
13
Q

3 alkylated ether

A

quickly dealkylated in vivo (prodrug)

How well did you know this?
1
Not at all
2
3
4
5
Perfectly
14
Q

estrogenic esters

A

decrease solubility and slow absorption time
prolongs action for injections

How well did you know this?
1
Not at all
2
3
4
5
Perfectly
15
Q

what kind of estrogen is this?

A

conjugated estrogens
collected from pregnant mares urine
sulfate group

How well did you know this?
1
Not at all
2
3
4
5
Perfectly
16
Q

non steroidal estrogens

A

diethyl stilbestrol, chlorotrianisene

17
Q

diethyl stilbestrol (Des) class and use

A

non steroidal estrogen
1940-1970 to prevent miscarriage
advanced prostate cancer
increased risk vaginal adenocarcinoma if exposed in utero (baby)

18
Q

chlorotrianisene (Tace) class and use

A

non steroidal estrogen
postpartum breast engorgement
menopause symptoms
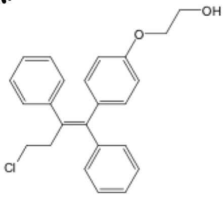
prostate cancer

19
Q

MOA of SERMS

A

helix 12 is SERM bound blocking coactivator binding

20
Q

tamoxifen (class and use)

A

partial estrogen agonist
antiestrogen activity: breast cancer treatment/prevention
estrogenic actions: weak agonist at endometrial cells, increase coagulation, prevent osteoporosis

21
Q
22
Q

-fene

23
Q
24
Q
25
toremifene (type and use)
SERM advanced breast cancer
26
ospemifine (use and type)
SERM dyspareunia in post menopausal women
27
raloxifene (type and use)
SERM: partial estrogen agonist prevent osteoporosis postmeno decrese LDL increase risk blood clot decrease risk breast cancer hot flashes
28
raloxifene
29
clomiphene
SERM: partial estrogen agonist moa: increase FSH and LH by inhibiting negative estradiol feedback stimulate ovulation polycystic ovary syndrome
30
fulvestrant
SERD (antagonist) treatment of breast cancer more effective than SERM for tamoxifen resistane
30
fulvestrant
SERD (antagonist) treatment of breast cancer more effective than SERM for tamoxifen resistant