Evolving vs learning behaviour Flashcards

(15 cards)

1
Q

Name two ways animals adapt?

A
How well did you know this?
1
Not at all
2
3
4
5
Perfectly
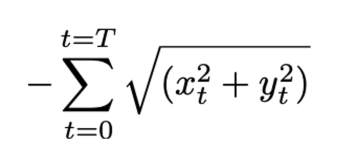
2
Q

What is the Fitness Function formula for evolutionary robotics

A
How well did you know this?
1
Not at all
2
3
4
5
Perfectly
3
Q

Explain Evolutionary Robotics

A

Evolutionary robotics uses evolutionary methods, especially genetic algorithms, to automatically design robot controllers for engineering and scientific purposes.

How well did you know this?
1
Not at all
2
3
4
5
Perfectly
4
Q

How is an evolved genotype evaluated in evolutionary robotics

A

By decoding the robot’s network, body, sensor, and motor parameters, building the robot, testing it in an environment, scoring its fitness on a task, and then selecting, reproducing, and mutating the best designs.

How well did you know this?
1
Not at all
2
3
4
5
Perfectly
5
Q

What is the difference between simulation and physical robots in evolutionary robotics?

A

Simulations are fast and repeatable, while physical robots are realistic but costly and time-consuming.

How well did you know this?
1
Not at all
2
3
4
5
Perfectly
6
Q

What is evo-devo in evolutionary robotics?

A

An approach that evolves both a robot’s body and brain together.

How well did you know this?
1
Not at all
2
3
4
5
Perfectly
7
Q

What is swarm robotics in evolutionary robotics?

A

An approach where multiple robots cooperate as a group using evolved controllers.

How well did you know this?
1
Not at all
2
3
4
5
Perfectly
8
Q

What is soft robotics in evolutionary robotics?

A

An approach that applies evolutionary methods to flexible, soft-bodied robots.

How well did you know this?
1
Not at all
2
3
4
5
Perfectly
9
Q

Name the 3 types of machine learning

A
How well did you know this?
1
Not at all
2
3
4
5
Perfectly
10
Q

Explain Reinforcement Learning

A

Interactions with an environment and taking actions through experience often relating to reward factor.

How well did you know this?
1
Not at all
2
3
4
5
Perfectly
11
Q

What does Q(s, a) estimate in reinforcement learning?

A

The discounted cumulative reward for taking action a in state s and then following the current policy.

How well did you know this?
1
Not at all
2
3
4
5
Perfectly
12
Q

What is the optimal action in a state according to the Q-function?

A

The action with the highest Q-value, written as argmaxₐ Q(s, a).

How well did you know this?
1
Not at all
2
3
4
5
Perfectly
13
Q

Why are neural networks used in reinforcement learning?

A

Because the Q-table can be too large or infinite.

How well did you know this?
1
Not at all
2
3
4
5
Perfectly
14
Q

What does a Q-network learn?

A

It learns the Q-function by mapping states to action Q-values.

How well did you know this?
1
Not at all
2
3
4
5
Perfectly
15
Q

What is one benefit of using a Q-network?

A

It can generalise across similar states.

How well did you know this?
1
Not at all
2
3
4
5
Perfectly