Pytorch Flashcards

(6 cards)

1
Q

What is the script for importing pytorch features?

A
How well did you know this?
1
Not at all
2
3
4
5
Perfectly
2
Q

Describe what is tensor is?

A

A basic building block in pytorch is the Tensor class

A tensor is a multi-dimensional array of numbers

How well did you know this?
1
Not at all
2
3
4
5
Perfectly
3
Q

List all the number of ways to create tensors?

A
How well did you know this?
1
Not at all
2
3
4
5
Perfectly
4
Q

How would you create a predict function?

A
How well did you know this?
1
Not at all
2
3
4
5
Perfectly
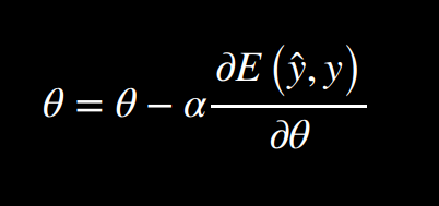
5
Q

What is the formula for Backpropagation

A
How well did you know this?
1
Not at all
2
3
4
5
Perfectly
6
Q

What are the Neural Network Formulas?

A
How well did you know this?
1
Not at all
2
3
4
5
Perfectly