
DNA sugar - deoxyribose
At what carbon do deoxyribose and ribose differ?
C2

RNA sugar -ribose

Thymine

Cytosine

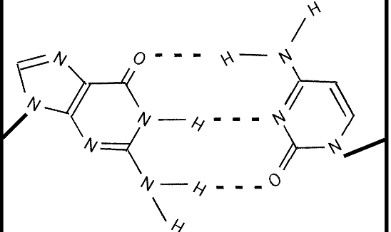
Guanine

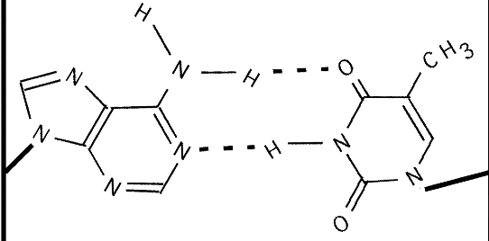
Adenine

Adenine

Cytosine

Guanine

Thymine
How do Adenine and Thymine Hydrogen bond?

How do Guanine and Cytosine Hydrogen bond?


Uracil
What does a phosphodiester linkage look like?
What C’s do the phosphates bond?
What’s the directionality?
3’-5’ phosphodiester bond (going down)
5’ C on bottom; 3’ C on top

Give the base, nucleoside and nucleotide for
A
RNA
Adenine
adenosine
adenylate (amp)
Give the base, nucleoside and nucleotide for
G
RNA
Guanine
Guanosine
Guanylate (GMP)
Give the base, nucleoside and nucleotide for
U
RNA
Uracil
uridine
uridylate (UMP)
Give the base, nucleoside and nucleotide for
C
RNA
cytosine
cytidine
cytidylate (CMP)
What is the nucleoside and nucleotide for
Hypoxanthine
inosine
inosinate (IMP)
What is the nucleoside and nucleotide for
Xanthine
xanthosine
xanthylate (XMP)
What is the base, nucleoside, and nucleotide for
T
DNA
Thymine
(deoxy) thymidine (all T is deoxy)
(deoxy) thymidylate (dTMP)
What is the base, nucleoside, and nucleotide for
A
DNA
Adenine
deoxyadenine
deosyadenylate (dAMP)
What is the base, nucleoside, and nucleotide for
G
DNA
Guanine
deoxyguanosine
deoxyguanylate (dGMP)