
Switch from weak to strong binding state explains the sigmoidal curve
B6
Glycine, Allows approach of B and E helices
What is Hemoglobin Constant Spring?
(α-globin chain that
is abnormally long)
what defines beta thal major
homozygous for defect. no beta chain made.
Alpha 1
Arg141
Residue
(NH3+)
Alpha 2
Val1
N-terminus
(NH3+)
Alpha 1
Lys40
Residue
(NH3+)
Beta 1
His146
C-terminus
(COO-)
Alpha 2
Asp 126
Residue
(-O-)
Alpha 1
Arg141
Residue
(NH3+)
Mb is used in some tissues, notably
____, as a storage reserve of O2 and for
________
muscle; intracellular transport
Alpha 1
Tyr140
Residue
(-OH)
Alpha 1
Val93
Carboxyl
(=O)
What are the reasons why CO is toxic?
Acts as a competitive inhibitor - it ties
up oxygen binding sites and thereby
blocks respiration.
CO is bound with much greater affinity
to myoglobin and hemoglobin than is O2, and the
binding is not readily reversible - CO converts Hb to a high affinity
state for O2 that does not release O2 at low
pO2
What is the concerted model? (MWF?)
the shift from T to R is a concerted one, so that mixed molecules wiht some subunits in the weak-binding state and some in the strong-binding state are specifically excluded.
True or False:
The tertiary structure of each subunit of Hb is very similar to the tertiary structure of Mb
True
What is the mutation for St. Lukes?
Cause? Mechanism?
Pro (α chain) (G2) to Arg
• This change produces a Hb variant known as St
Lukes.
• The loss of Pro results in a change of the
geometry of the subunit and therefore alters
subunit interactions due to continuation of the
helix. This results in Hb dissociation into subunits.
In the lung, deoxy-hemoglobin exchanges its
load of _____ and ________ with
_____.
In the lung, deoxy-hemoglobin exchanges its
load of protons and carbon dioxide with
oxygen.
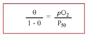
What is the equation for theta (aka fractional saturation)?

True or false: the heme pocket cannot bind other small molecules besides O2
False. CO2 is one of them.
Beta 2
His146
C-terminus
(COO-)
Alpha 1
Lys40
Residue
(NH3+)
How does the gamma chain differ from the beta chain in hb?
serine instead of His143
What is the pO2 in the air (mmHg). Why are tissues and cells not exposed to this directly?
What does Hb transport do?
• O2 is a very strong oxidizing agent.
• In the air its pO2 is approximately 120-150
mmHg.
• If tissues and cells are exposed directly to
this high pO2, many cellular substances
may get oxidized and damaged.
• Hb transport reduces the pO2 to about 30-
40 mmHg.
Beta 2
His146
Residue
(+)
Beta 2
Asp94
Residue
(COO-)
What is the mutation for HbE?
β26 Glu to Lys
What is the symbol for HbH?
(β4)
How does CO toxicity differ between Mb and Hb
Only acts as a competitive inhibitor for Mb because it does not bind cooperatively