





Write type checking rules for the following statements


Write compilation schemes for the following expressions










Write syntax directed interpretation rules for the expression forms above. The environment must be made explicit, as well as all possible side effects.

Write compilation schmes in pseudo code for each of the expression constructions above generating JVM (i. asmin assembler). It is not necessary to remember exactly the names of the instructions - only what arguments they take and how they work.











Write syntax-directed type checking rules for the expressions below. The typing enviroment must be made explicit

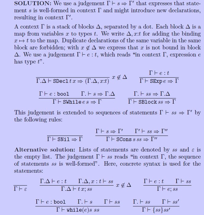
Write syntax directed interpretation rules for the statements forms and lists below. The environment must be made explicit, as well as all possible side effects. You can assume an interpreter for expressions

Write compilation schemes in pseudo-code for each of the grammer constructions in. The compiler shoul output symbolic JVM instructions (i.e Jasmin assembler). It is not necessary to remember exactly the ames of the instructions - only what arguments they take and how they work.

JVM instructions



(a) not valid (f is unbound)
(b) valid
(c) valid
(d) not valid (g does not have a function type)
(e) not valid (self application x x is not typable)





