
(a) valid
(b) not valid (h is not a function, cannot apply it to 1)
(c) not valid (g + 1 is not a function)
(d) valid
(e) valid
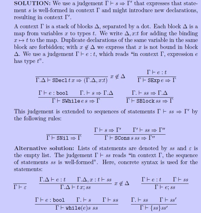
Statements:


Expression constructs




Expressions
Write compilation schmes in pseudo code for each of the expression constructions above generating JVM (i. asmin assembler). It is not necessary to remember exactly the names of the instructions - only what arguments they take and how they work.


(a) Not valid (f is unbound)
(b) valid
(c) valid
(d) not valid (f doe snot have a function type)
(e) not valid (self application x x is not typable)


Write syntax-directed typing rules for the expression below. In any case, the environemnt must be made explicit
Function calls, multiplication and addition are left-associative, comparison is non-associative, assignment is right associative. Function calls binds strongest, then multiplication, then addition, then comparison, then assignment.

Write syntax-directed type checking rules for the expressions below. The typing enviroment must be made explicit
Both arithmetic operations are left associative. Multiplication binds stronger than subtraction















Write compilation schemes in pseudo code or in Haskeel for the statement and expressions below. The compiler should output symbolic JVM insturctions (i. Jasmin assembler). It is not necessary to remember exactly the names of the instructions - only what arguments they take and how they work
Function calls, multiplication and addition are left-associateive, comparison is non-associative, assignments is rightassociative. Function calls bind strongest, then multiplication, then addition, then comparison, then assignment










(a) not valid (f is unbound)
(b) valid
(c) valid
(d) not valid (g does not have a function type)
(e) not valid (self application x x is not typable)
Write compilation schemes in pseudo-code for each of the grammer constructions in. The compiler shoul output symbolic JVM instructions (i.e Jasmin assembler). It is not necessary to remember exactly the ames of the instructions - only what arguments they take and how they work.
Both arithemetic operations are left associative. Mutliplication binds stronger than subtraction.

Write syntax directed interpretation rules for the statements forms and lists below. The environment must be made explicit, as well as all possible side effects. You can assume an interpreter for expressions
