Exercises Flashcards

(24 cards)

1
Q

What are the steps to derive the unconditional variance?

Usually, e.g. when deriving from a random walk

A

Usually you want to rewrite the model to sum e.g. an AR or AR-MA model. Then you can derive it.

How well did you know this?
1
Not at all
2
3
4
5
Perfectly
2
Q

Derive the ARCH(inf) of a GARCH(1,1)

A
How well did you know this?
1
Not at all
2
3
4
5
Perfectly
3
Q

Solve

A
How well did you know this?
1
Not at all
2
3
4
5
Perfectly
4
Q

How to find the derivation of a function of sigma with respect to theta?

A

Find the derivative of sigma with respect to each variable in theta.

How well did you know this?
1
Not at all
2
3
4
5
Perfectly
5
Q

What is the Newton-Rapson algorithm?

A

x^(k+1) = x^(k) - f’(x^(k))/f’‘(x^(k))

How well did you know this?
1
Not at all
2
3
4
5
Perfectly
6
Q

What is the normal density?

A
How well did you know this?
1
Not at all
2
3
4
5
Perfectly
7
Q

How to test a parameter from a model, while knowing Omega hat?

A

Fill this value into a normal cdf (obv.)

How well did you know this?
1
Not at all
2
3
4
5
Perfectly
8
Q

How to draw a News Impact Curve?

A

y_t = 0 is omega,
y_t = +/-1 is omega + alpha,
y_t = +/- 2 is omega + alpha^2
etc.

How well did you know this?
1
Not at all
2
3
4
5
Perfectly
9
Q

Do you want higher or lower AIC/BIC?

A

Lower is better

How well did you know this?
1
Not at all
2
3
4
5
Perfectly
10
Q

Which of AIC/BIC should always be lower?

A

BIC since it “punishes” parameters more

How well did you know this?
1
Not at all
2
3
4
5
Perfectly
11
Q

What is z_0.05? And z_0.025?

A

-1.64, -1.96

How well did you know this?
1
Not at all
2
3
4
5
Perfectly
12
Q

When is the approximation for large h of sigma(h) better?

A

When alpha + beta is highest

How well did you know this?
1
Not at all
2
3
4
5
Perfectly
13
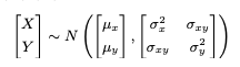
Q

What is the cond. expectation E[X | Y] and cond. variance Var[X | Y] of a bivariate model with

A
How well did you know this?
1
Not at all
2
3
4
5
Perfectly
14
Q

What is a requirement for a valid covariance matrix of a DVECH model (and other multivariate GARCH models)?

A

It needs to be symmetric (diagonally)

How well did you know this?
1
Not at all
2
3
4
5
Perfectly
15
Q

What is the uncond. variance of a VECH model

A

(I - A_1 - A_2 -..)W

How well did you know this?
1
Not at all
2
3
4
5
Perfectly
16
Q

What is corr rho?

A

rho_12 = sigma_12/(sigma_1 sigma_2)

17
Q

What are important facts you need to know when deriving the kurtosis?

A
  • The kurtosis of a normal distribution is three
  • sigma^4 = sigma^2*2 = exp(2mu +2sigma)
18
Q

A LogN + LogN distribution is?

19
Q

Cov(a, b) = ?

In terms of the expectation

A

E[ab] - E[a]E[b]

20
Q

How do you show that an indirect estimator is efficient?

21
Q

If you have to check whether the auxiliary statistics of a estimation make sense, what do you need to look at?

A
  1. Are there enough auxiliary statistics
  2. Are the statistics relevant (e.g., no skewness for a symmetric distribution)
22
Q

Which type of models make sense to check an SV model with using aux. statistics?

A

Models that check y^2_t and the autocov.

23
Q

What are the steps of deriving the loglikelyhood?

A
  1. Find the mean and variance of the observation equation
  2. Fill these values into a normal pdf (1/sqrt(2pi sigma^2))exp((y - mu)^2/2sigma^2)
  3. Sum these into a log likelyhood, you may remove constants
  4. Start the sum at a t for which you have values