Week 5 Flashcards

(24 cards)

1
Q

What is the difference between an observation-driven model and a parameter-driven model?

A
How well did you know this?
1
Not at all
2
3
4
5
Perfectly
2
Q

Give the definitions of the observation and updating equation of the SV model.

A
How well did you know this?
1
Not at all
2
3
4
5
Perfectly
3
Q

What are the observation- and parameter-driven models primarily used for in Econometrics?

A
How well did you know this?
1
Not at all
2
3
4
5
Perfectly
4
Q

What are the stocastic properties of the unobserved process f_t?

SV model, name four

A
How well did you know this?
1
Not at all
2
3
4
5
Perfectly
5
Q

Show that the conditional mean of an SV model is zero.

A
How well did you know this?
1
Not at all
2
3
4
5
Perfectly
6
Q

Show that the autocovariance of a SV model is zero.

A
How well did you know this?
1
Not at all
2
3
4
5
Perfectly
7
Q

How do you get the conditional variance of the SV model?

A
How well did you know this?
1
Not at all
2
3
4
5
Perfectly
8
Q

What is the log-normal distribution?

A
How well did you know this?
1
Not at all
2
3
4
5
Perfectly
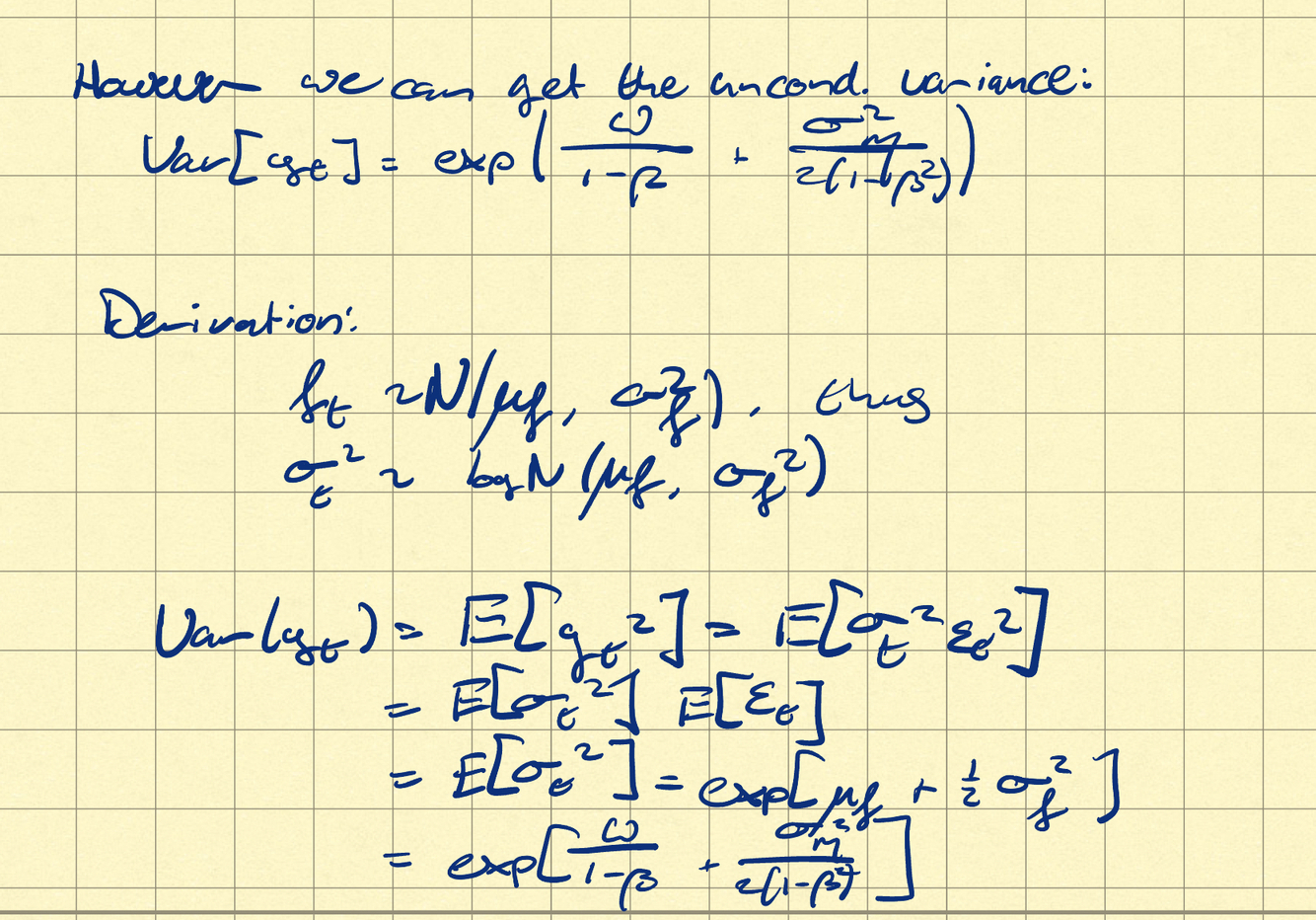
9
Q

What is the unconditional variance of the SV model?

Show the derivation

A
How well did you know this?
1
Not at all
2
3
4
5
Perfectly
10
Q

What is the kurtosis of a SV model?

Give the derivation

A
How well did you know this?
1
Not at all
2
3
4
5
Perfectly
11
Q

Why is an SV model difficult to estimate?

A
How well did you know this?
1
Not at all
2
3
4
5
Perfectly
12
Q

What is the MSV model?

Name the observation equation

A
Just care about the observation equation
How well did you know this?
1
Not at all
2
3
4
5
Perfectly
13
Q

How is Σ in a MSV different than in a GARCH-type model?

A
How well did you know this?
1
Not at all
2
3
4
5
Perfectly
14
Q

What is the updating equation of a MSV?

A
How well did you know this?
1
Not at all
2
3
4
5
Perfectly
15
Q

Name the entire MSV model.

A
How well did you know this?
1
Not at all
2
3
4
5
Perfectly
16
Q

What are the three types of estimation problems?

18
Q

What are the steps of indirect inference?

There are four

19
Q

What is the definition of the indirect inference estimator?

20
Q

What is the asyptotic distribution of the indirect inference estimator?

21
Q

What are the three (types) of auxiliary statistics of the SV model?

22
Q

Why is the filtering path estimation useful when estimating a SV model?

A

If we only want to estimate the (unobserved) time varying volatility.

23
Q

What are the (five) steps of a filtering paths estimation?

24
Q

What is the distribution of a filtered path?