Experience Rating Flashcards

(18 cards)

1
Q

3 Advantages of experience rating

A

Allows us to account for differences between risks within a class

Allows us to account for differences in variables that are difficult or impractical to quantify

Rate can be further tailored to its loss potential beyond use of manual rates

How well did you know this?
1
Not at all
2
3
4
5
Perfectly
2
Q

3 Goals of experience rating

A

Greater risk equity

Increased incentive for safety

Enhances market competition

How well did you know this?
1
Not at all
2
3
4
5
Perfectly
3
Q

Type of credibility used in experience rating

A

Buhlmann

How well did you know this?
1
Not at all
2
3
4
5
Perfectly
4
Q

3 conditions Z should satisfy

A
  1. 0 <= Z <= 1
  2. Credibility increases with risk size
  3. Ratio of Z to risk size should decrease
How well did you know this?
1
Not at all
2
3
4
5
Perfectly
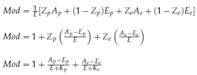
5
Q

Mod for generic no-split plan

A
How well did you know this?
1
Not at all
2
3
4
5
Perfectly
6
Q

Mod for generic split plan

A
How well did you know this?
1
Not at all
2
3
4
5
Perfectly
7
Q

What primary split reflects in the split plan

A

Frequency

How well did you know this?
1
Not at all
2
3
4
5
Perfectly
8
Q

What excess split reflects in the split plan

A

Severity

How well did you know this?
1
Not at all
2
3
4
5
Perfectly
9
Q

Condition for split plan to work better than non-split

A

When process risk and parameter risk can be separated

Ex: WC with serious injury types vs. minor injury types

How well did you know this?
1
Not at all
2
3
4
5
Perfectly
10
Q

Two credibility issues in experience rating

A

Maximum Single Loss: full loss amount not likely credible

Minimum and maximum mod values: limit extremes

How well did you know this?
1
Not at all
2
3
4
5
Perfectly
11
Q

Quintile tests for experience rating

A

Sort by mods into 5 quintiles

Calculate weighted average manual and standard LRs

Looking for maximum dispersion in manual LRs

Looking for flat standard LRs

How well did you know this?
1
Not at all
2
3
4
5
Perfectly
12
Q

Trend in standard LRs from quintile test

A

If lower mods have higher standard LRs, too much credibility being applied

How well did you know this?
1
Not at all
2
3
4
5
Perfectly
13
Q

Efficiency Test

A

Rank risks into quantiles by mod

Test ratio of variance of standard LRs to variance of manual LRs

Lower the better

How well did you know this?
1
Not at all
2
3
4
5
Perfectly
14
Q

Purpose of schedule rating

A

Reflect risk’s individual characteristics

How well did you know this?
1
Not at all
2
3
4
5
Perfectly
15
Q

Modified Premium

A

Manual premium x Emod

How well did you know this?
1
Not at all
2
3
4
5
Perfectly
16
Q

Standard Premium

A

Modified premium x schedule mod

17
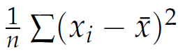
Q

Population variance

18
Q

Loss-free scenario within mod