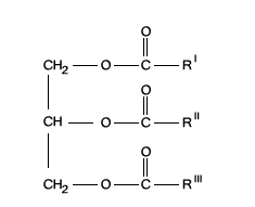
General structure of a triglyceride

What happens to the triglyceride in the presence of the methanolic NaOH
fatty acid would undergo a base-catalyzed reaction with the OH group of sodium hydroxide
Explain what happens upon treatment of boron trifluoride in methanol.
* The two form separate layers * Boron trifluoride is relatively non-polar, while methanol is polar * Creates separation between the two substances
What happens in liquid-liquid extraction
* used to separate compounds based on their relative solubilities * carried out in water and an organic solvent * the two are immiscible
What fractions are on the top and the bottom
Polar in the bottom with aqueous phase. Non-polar in the organic phase.
What are the products of the reaction
FAMEs, fatty acid methyl esters
What is the purpose of anhydrous magnesium sulfate
It is used in the lab as a desiccant
Explain in layman’s terms how GC-MS works
* GC will separate the compound., retention time is used as the unit of measurement, individual retention times help to identify what’s present in the compound. * MS calculates fragments which vary and size, while also representing the molecular make-up of the compound.
Which fractions contain which major lipid classes?
Organic layer will contain FAs that are completely hydrophobic, while the aq. layer will contain amphipathic FAs. Based on polarity can one determine what fatty acids will be found in each layer.
Why do different lipid types come out in different solvents?
Fatty acids are specific to which type of solvent they will dissolve in. The principle “like dissolves like” is occurring in liquid liquid extraction.
Why is sodium sulfate used to dry the organic solvent (chloroform)?
* Drying agent * A dry sample was important to obtain an optimal separation of lipids in the column chromatography portion of the lab
Why do different lipids travel different distances on the TLC plates?
* Interactions with the silica * Silica (non-polar) does not react well with polar compounds, resulting in non-polar compounds traveling the least while the polar compounds move the farthest the fastest
Why did you determine absorbance at 260 and 280 nm when determining DNA?
The 260 nm is related to DNA and determining the presence of nucleic acids, whereas 280 is used for proteins.
What is the purpose of the pineapple juice?
* Contains bromelain * Proteolytic enzyme * Breaks bonds between proteins & nucleic acids
Why did we not use canned pineapple juice?
Contamination
What was detergent used for?
* breakdown of the cell membrane by dissolving lipids and proteins * create new compounds, with the proteins and lipids, in the form of precipitate
Why is it important not to heat the banana over 70 C?
* unnecessary breakdown of bonds and denature the proteins past the ideal point * the yield produced if the temperature was above 70 would’ve been increased from the goal amount (polymerase chain reaction)
What functional groups on the amino acids allow them to interact with the Dowex cation exchange resin and how does increasing the pH alter this effect?
basic groups
What functional groups interact with the TLC plate silica coating?
(hydrophobic/hydrophilic)
What other techniques, other than TLC, could be used to determine the amino acids in each fraction?
Gel electrophoresis
Explain what an Rf value represents
* Larger Rf value= less polar and moves faster * Smaller Rf value= more polar, more attracted to the stationary phase.
What happens when milk curdles naturally when it is past the printed expiration date?
pH is being altered and the milk becomes more acidic.
What is the source of acid causing the curdling and how is the acid made?
Normally, milk is composed of free-floating small protein molecules. When curdling begins, these small proteins start to come together and bind with one another to form clumps as the pH changes.
Which protein source contains more essential amino acids? Was this the result you expected and why?
Casein, yes that was to be expected. When we are in the earliest years of development, many of us drank milk. Milk is known to contain a vast amount of protein and other important nutrients to facilitate healthy growth.