FET Flashcards

(20 cards)

1
Q

How to tell FET drain from source

A

drain is at positive voltage relative to source by convention

How well did you know this?
1
Not at all
2
3
4
5
Perfectly
2
Q

What is FET cutoff

A

Vgs=0, DS is back to back diodes

How well did you know this?
1
Not at all
2
3
4
5
Perfectly
3
Q

What is enhancement mode FET

A

normally off, need to control Vgs to turn on

How well did you know this?
1
Not at all
2
3
4
5
Perfectly
4
Q

What is depletion mode FET

A

normally on, need to control Vgs to turn off. used as loads in NMOS only process in old CPUs, Motorola 6800 and 6502

How well did you know this?
1
Not at all
2
3
4
5
Perfectly
5
Q

Describe NMOS

A

N-type source and drain. P-type substrate. The channel is created by inverting the p-type substrate to n-type with a value of Vgs that is high enough. The channel is also called an inversion layer.

How well did you know this?
1
Not at all
2
3
4
5
Perfectly
6
Q

How much charge is in the channel

A

Q=Cox(WL)Vov

How well did you know this?
1
Not at all
2
3
4
5
Perfectly
7
Q

How to solve for Ids in MOS

A

(Q/L)(drift velocity)=(Q/m)(m/s)=Q/s=A=(CWVov)(uVds/L) -> Ids = uC*(W/L)(Vov)(Vds) w/o pinch off

Note: Cox = how much charge. un=how fast

How well did you know this?
1
Not at all
2
3
4
5
Perfectly
8
Q

Regions of MOS operation

A

Off: Vgs < Vt
Triode: Vds < Vov, Id=f(Vds)
Saturation: Vds > Vov, Id=f(Vov) (pinch-off)

How well did you know this?
1
Not at all
2
3
4
5
Perfectly
9
Q

How to make PMOS in p-type subtrate?

A

Need an n-well

How well did you know this?
1
Not at all
2
3
4
5
Perfectly
10
Q

Best bias for linear NMOS

A

Saturate so it’s a VCCS with one input.

1) Vgs>Vt,
2) Vds>Vov,
3) Vgd

How well did you know this?
1
Not at all
2
3
4
5
Perfectly
11
Q

Best bias for linear BJT NPN

A

NPN in active mode (BC reverse biased)

1) Vbe(on)
2) Vbc < 0.4V
3) Vce > 0.3V

How well did you know this?
1
Not at all
2
3
4
5
Perfectly
12
Q

what is channel length modulation

A

As Vdd increases the channel moved away from drain. Since Id is inverse proportional to channel length, as it shortens Id increases with Vds. Lamba is the device parameter. Id=f(Vov)(1+LVds) or (1+Vds/Va)

How well did you know this?
1
Not at all
2
3
4
5
Perfectly
13
Q

what is the early voltage

A

specs channel length modulation. output impedance of FET

ro=Va/Id

How well did you know this?
1
Not at all
2
3
4
5
Perfectly
14
Q

What is the body effect

A

Changes in Vsb are reflected as a change in Vt

How well did you know this?
1
Not at all
2
3
4
5
Perfectly
15
Q

How does Vt change with temperature

A

down by 2mV for every degree C

How well did you know this?
1
Not at all
2
3
4
5
Perfectly
16
Q

How does Id in FET change with temp?

A

Vt goes up but Id goes down due to reduced K’

17
Q

What is the level 1 fet Ids equation in linear mode

A

Id = kn” *(W/L) * (Vov - Vds/2) * Vds

18
Q

What is kn”?

A

the process transconductance, Un * Cox (Cox=how much) Un=(how fast)

19
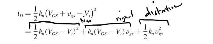
Q

How is the small signal requirement derived?

20
Q

When do we prefer the T small signal model?

A

In general it is preferable whenever there is a resistance connected to the source. Then Rs is in series with that resistance