Which distribution table is used to analyze one population mean, if the population variance is known?
Z-table
Which distribution table is used to analyze one population mean, if the population variance is unknown?
t-table
Which distribution table is used to analyze a population of differences?
t-table
Which distribution table is used to analyze the ratio of two population variances?
F-table
Which distribution table is used to analyze two population means with two known population variances?
Z-table
Which distribution table is used to analyze two population means with two unknown population variances that are assumed to be equal?
t-table
Which distribution table is used to analyze two population means with two unknown population variances that are NOT assumed to be equal? What is particular about this hypothesis testing?
Which distribution table is used to analyze a linear correlation or regression?
t-table
Which distribution table is used to analyze population proportions?
Z-table
Which equation is used to determine the Zobs of one population mean, if the population variance is known?

Which equation is used to determine the tobs of one population mean, if the population variance is unknown?

Which equation is used to determine the tobs of a population of differences?

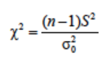
Which equation is used to determine the X2obs of one population variance?

Which equation is used to determine the Fobs of a ratio of two population variances?
