Which type of qualitative data may be computed for the mean?
None
Which type of qualitative data may be computed for the median?
Which type of qualitative data may be computed for the mode?
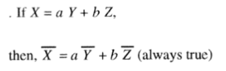
True or False

True
What is the population mean for the binomial distribution?
E(X) = np
What is the population variance for the binomial distribution?
Var(X) = np (1-p)
What is the population mean and variance for the Poisson distribution?
E(X) = m = Var(X)
How is the normal distribution different that the binomial and Poisson distributions?
What is the equation for the standard error?
SE = S/(n)^(1/2)