What is the time value of money
The idea that money is more valuable today than in the future, since it can be invested to earn interest r
Give the equation for rates of return

What is the compound interest calculation
CT = C0(1 + r)T
Whats the holding period return
the overall return for the full period
r = (1 + rt)1/t - 1 where rt is the interest rate per period
What’s present value
the value of all future cash flows

What is the discount factor
1 / (1 + r)
Whats a zero coupon bond
A bond that costs CF0 today and promises to make CFT = (1+r)CF0 in the future
What’s Net Present Value
the present value of all its future cash flows minus the present value of it’s costs
What is the Capital budgeting rule for Present value?
Take all with NPV > 0
What’s a perpetuity?
A bond that pays C pounds, per period, forever.

What’s the equation for a growing perpetuity

State the three equations associated with the Gordon Growth model

What’s an annuity
an instrument that pays CF for T years

Whats the equation for a growing annuity

What’s the internal rate of return
the value of the discount rate r which sets the NPV = 0
does the IRR reflect cost of capital?
NO
What’s the capital budgeting rule for IRR
Accept the project if it’s IRR is higher than a ‘hurdle rate’
Give 2 advantages and 2 disadvantages for using IRR
Give the steps for incremental cash flow analysis
i) order alternatives in increasing order of the initial investment
ii) if the smallest investment has IRR > hurdle rate we consider the incremental cash flow
iii) if the IRRincremental > hurdle then accept the more expensive investment
Whats Profitability index and give the capital budgeting rule
The PV of the future cash flows, divided by the cost.
Invest if PI > 1, reject if PI < 1
Whats the payback rule
Choose the project with the shortest payback time, or projects that payback sooner than some cut off
What’s the Yield to maturity
the discount rate that sets the NPV of the bond equal to 0
P0 = FV / (1 + YTM)n
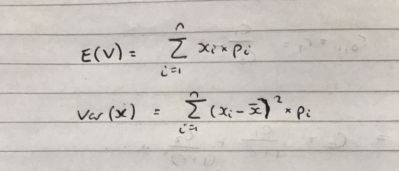
Whats expected value and variance?

what utility functions fit
i) risk averse
ii) risk neutral
iii) risk seeking
i) U(w) = w1/2
ii) U(w) = w
iii) U(w) = w2