Represent the PDE dtu - (dxxu + dyyu) + u3 - u = 0 as a function F
F: R4 to R, F(u, dtu, dxxu, dyyu)(x,y,t) = 0
Define linear and the order of a PDE
A PDE is linear if the associated function F is linear. The oreder of the PDE is the order of the highest derivative appearing in the PDE
When is a PDE well-posed
When it has a unique solution which continuously depends on data:
well-posedness = existence + uniqueness + stability
State the transport equation
dtu(x,t) + v(x,t)dx(u,t) = 0 for a function u where v(x,t) is a given function and we seek a solution in a time interval t in [0,T] with T in (0, inf) and x in R
State the characteristic method for solving the transport equation

With initial conditions u0: R to R s.t u(x0,0) = u0(x0), how do we solve the transport equation

How do we solve the transport equation now equal to a source term s(x,t, u(x,t))

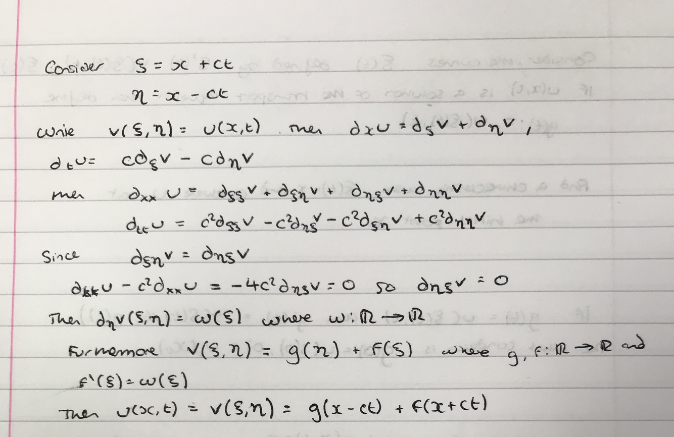
State the wave equation
dttu - c2dxxu = 0
Derive the general solution to the wave equation

State the initial value problem for the wave equation in 1D

state D’Alembert’s formula

State Leibniz’s rule



Theorem: Show that the solution to the initial value problem wave equation is unique and given by D’Alembert’s formula

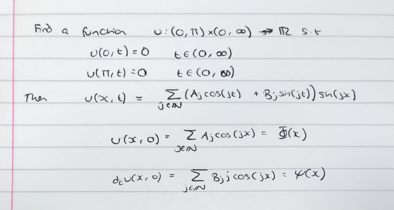
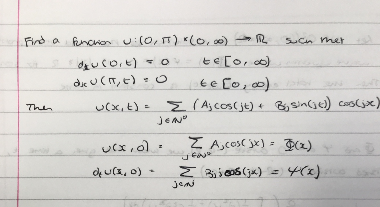
If we have the wave equation on a finite domain ie x in (0,L), how do we rescale the problem

State the homogeneous Dirichlet boundary conditions and the general solution

State the homogenous Neumann boundary conditions for the wave equation and the general solution

What are trigonometric polynomials of the degree 2n, give the complex and real versions



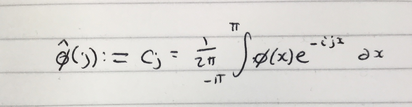
Given a fourier series exists, what are it’s coefficients?

State Bessel’s inequality

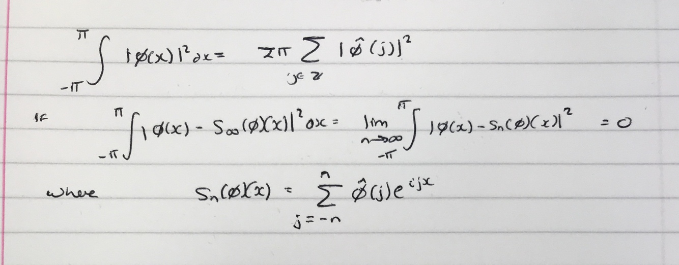
State Parseval’s equality and the conditions for it to hold

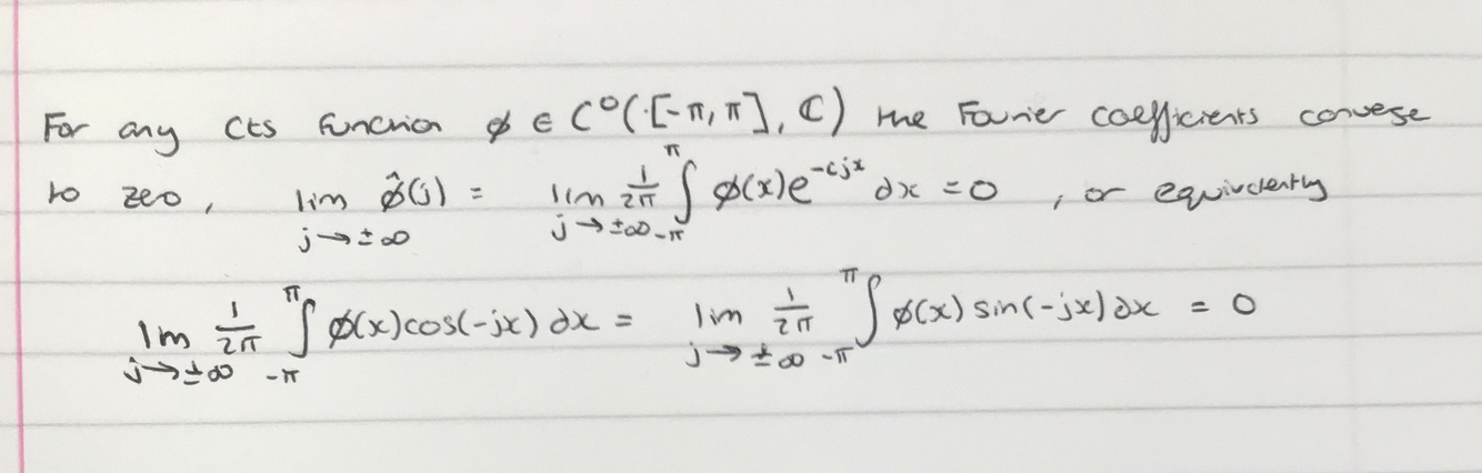
State the Riemann-Lebesgue lemma

When is a function odd and even
