Give two reasons why people choose to sample.
What does N stand for?
Number of inidividuals in the population
What does xi stand for?
The value of x for individul i
What does θ stand for?
Population parameter, function of the population values.
Name four population parameters.
What is the equation for population average?

What is the equation for population total?

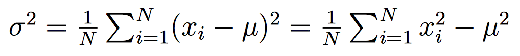
What is the equation for population variance?

What is the difference between N and n?
What is the number of possible samples, when using a simple random sample without replacement?

Define a statistic.
A statistic is any function of the sample observations.
Define a sampling distribution.
The sampling distribution of a statistic is:
Are samples with smaller or larger variacnes more reliable?
Smaller
What is the difference between Ȳn and 𝜇?
Prove 𝔼(Ȳn) = 𝜇.

What does 𝔼(Ȳn) = 𝜇 show?
The sample mean is an unbiased estimator for the population mean.
Define bias and therfore unbiased.
If statistic S estimates population parameter θ, then the bias of S is
b(S, θ) = 𝔼(S) - θ
If the bias is zero, then S is called unbiased.
What does σȲn stand for?
Standard error of estimator Ȳn.
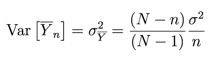
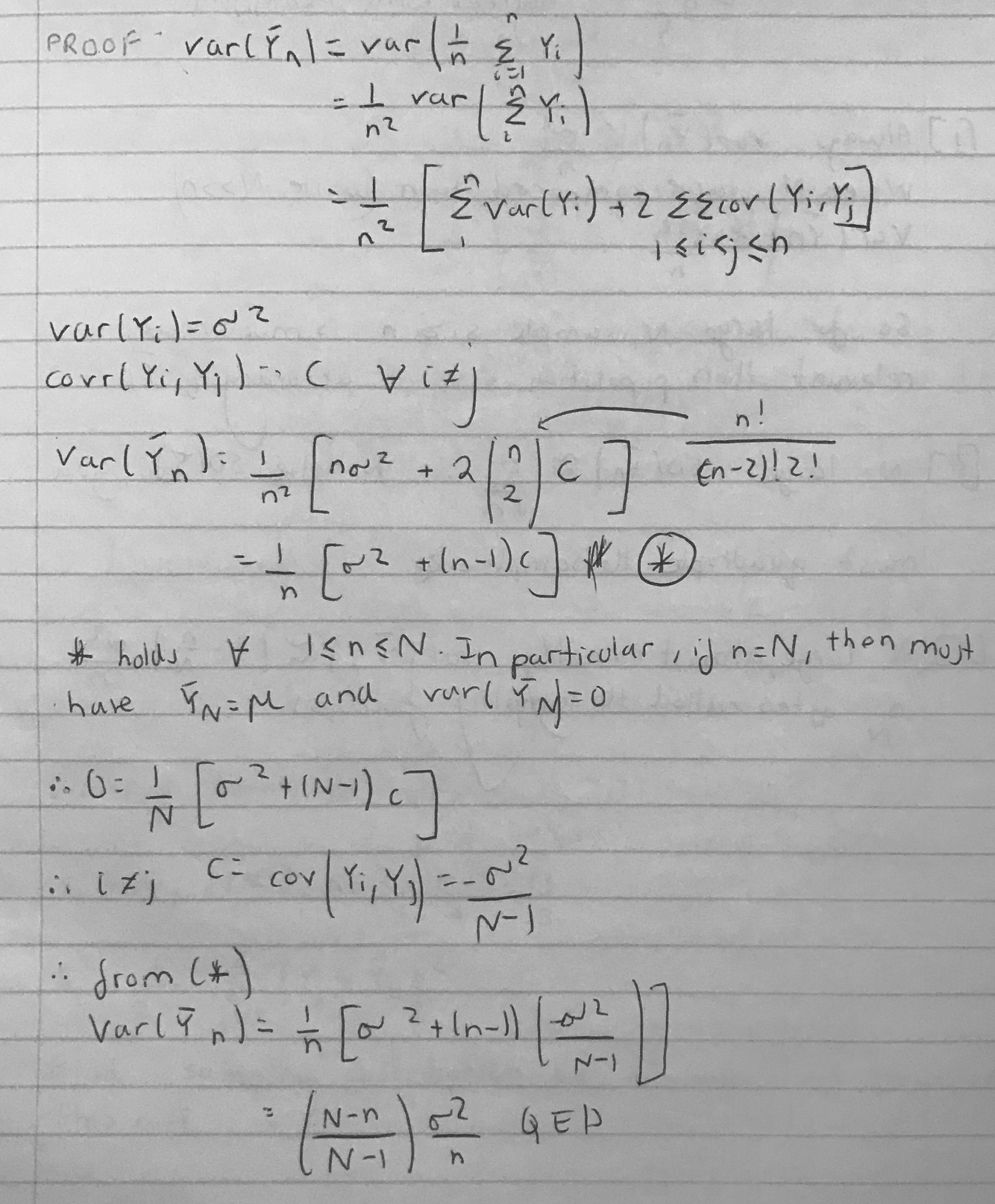
Prove


When N >> n what can you say about this inequality?


For large N what does var(Ȳn) approximately equal?

What does f stand for in this equation?

f is the sampling fraciton, n/N
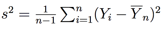
What is the equation for sample variance?

What does sȲ stand for?
Estimated standard error of Ȳ