The probability of d given θ is f(d | θ), what is the likelihood function for observed data values d = d٭?
𝑙(θ) = f(d٭ | θ)
Given a likelihood function what is the log likelihood?
L(θ) = log(𝑙(θ))
What is the maximum likelihood estimator?
The value θ^ which maximises the likelihood 𝑙(θ) for θ given observed data d٭
Give three reasons why it is good to use maximum likelihood estimators.
How do you find the maximum likelihood estimator?
When can we call y = (y1, … ,yn) an independent and identically distributed (iid) sample?
If each y1, … , yn are independent, each with distribution f(y | θ)
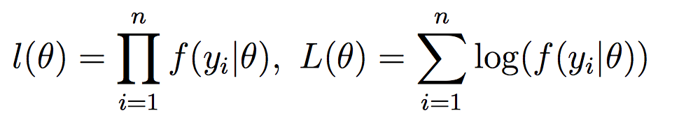
If y = (y1, … ,yn) is an iid sample of size n from f(y | θ) what is the likelihood function and therefore log likelihood function?

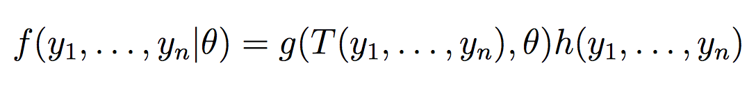
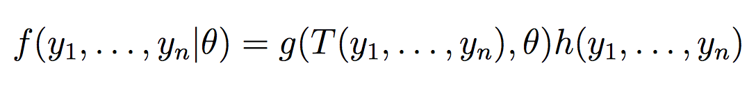
Define a sufficient statistic.
In general, a statistic, T is sufficent for parameter θ if we can factorise the probability function as

What is another name for

Factorisation Criterion
In a sufficent statsitic what does the MLE only depends on the sample through?
The value of the sufficient statistic T