Stall incidence
beyond the stall incidence, Cl decreases with increasing incidence. In a stall, the boundary layer over the upper surface is unable to follow the aerofoil’s surface

variation of lift coefficient with incidence

stall speed
Stalling speed increases with height as the air density decreases

variation of drag coefficient with lift coefficient

Calibration of aircraft instrumentation
Aircraft instrumentation is often calibrated in terms of Equivalent Air Speed to prevent confusion due to the variation of speed with altitude
True Air Speed
the actual speed of the aircraft through the air
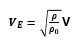
Equivalent Air Speed
the speed of an aircraft at sea level which has the same dynamic pressure as an aircraft flying at TAS at altitude
Equivalent air speed equation

High lift devices
Can be used to increased Clmax
increasing Clmax reduces the stall speed
located on the wing trailing and leading edges