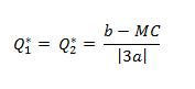
Konkurrence-kongen for Cournot
Denne formel kan bruges til at tjekke ens arbejde, og kun hvis de to virksomheder er symmetriske.
Q1* = Q2* = b - MC / |3a|

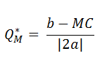
Konkurrence-kongen for monopol
Denne formel kan bruges til at tjekke ens arbejde.
QM* = b - MC / |2a|

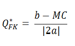
Konkurrence-kongen for FK
Denne formel kan bruges til at tjekke ens arbejde.
QFK* = b - MC / |2a|

Budgetbetingelser (have råd til)
M = P(x) • X + P(y) • Y

Hurtigregel hvis der er tale om en Cobb-Douglas funktion (kendetegnet ved gange tegnet)
U = Xalpha • Ybeta
⇒
MRS = alpha / beta • Y / X

Kongeregel for LDMR hvis der er tale om en Cobb-Douglas funktion

Hvis:
