Derivative definition

L’hopital Rule

Average rate Δ

Avg Value

Top heavy:
slant asymptote/diverge (long division)
Bottom heavy:
y = 0
Degree N = D (balanced)
Ratio of Coeff
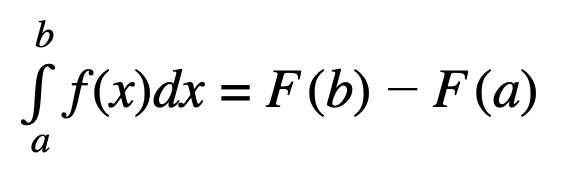
Fundamental th. Calc 1

Fundamental Th. Calc 2

The Extreme-Value Theorem:
If continuous [a,b] then must have absolute max & min
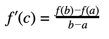
The Mean Value Theorem

If continuous on [a,b] and differentiable (a,b)

Rolle’s Theorem (special case MVT)
If continuous on [a,b] and differentiable (a,b)
HORIZONTAL tangent line at some point

Intermediate Value Theorem:

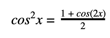
Trig






Chain Rule

Point of inflection
concavity changes or f’‘(x) changes sign
Volume of Solids with Known Cross-Sections

Volume of Solids with Known Cross-Sections
EQUILIATERAL TRIANGLE

Volume of Solids with Known Cross-Sections
SEMI CIRCLE

Area between two graphs

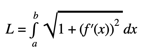
Arc Length

Polar to rectangular
