l’Hopital’s Rule

Ln(1) = ?



Ln(ab) = ?

Ln(a/b) = ?

Avg Rate of Change
(slope of secant line)

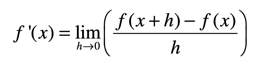
Definition of Derivative
(slope tangent line)

Product Rule

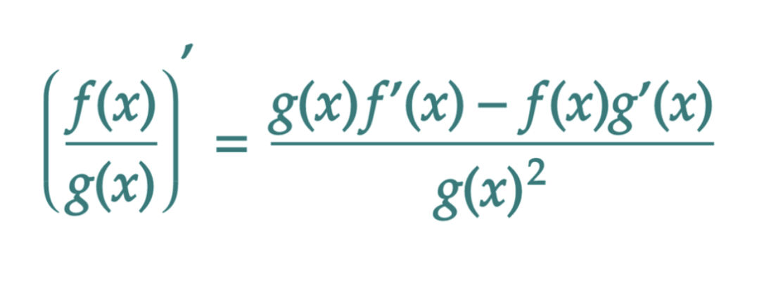
Quotient Rule
(Low dHigh) - (High dLow) / square of what’s below

Mean Value Theorem
instantaneous rate of Δ = avg rate of Δ

Critical Point
dy/dx = 0 or und.
Point of Inflection
concavity changes sign
f’‘(x) crosses the x-axis
Avg VALUE
if function is continuous & derivative exists

Logistic Curve

Integration by Parts

Arc Length

Lagrange Error Bound

Velocity Vector

Speed Formula

Total Distance Traveled

Area inside a leaf - polar curve

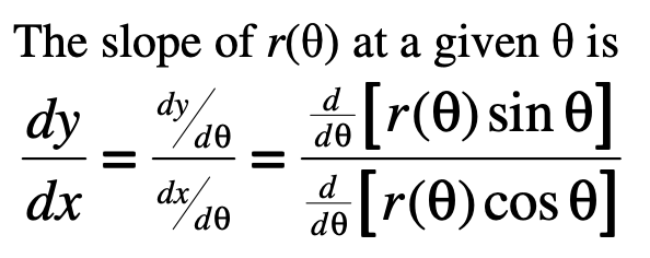
Slope of r(θ) at a given θ

Ratio Test

Alternating Series Error Bound
