Formula for Mechanical Advantage

Velocity Ratio Formula ?

Efficiency formula?

Moment ?

Force?

PE= ?

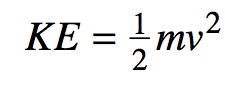
kenetic energy?

two formulas used for pressure?

if a body is in equilibrium, the starting line of working should start with? (there is 3)
Sum of Forces = 0
Sum of Horizontal Forces = 0
Sum of Vertical Forces = 0
Formula for Velocity Ratio

Mechanical Advantage for Gears
Velocity ratio for pulleys
What is the formula for bending stress and what do the variable mean
When given second moment of area
M = bending moment (nm)
y = distance from nuetral axis (m)
I = second moment of area (m^4)
largest bending moment is usuall taken from BM diagram
What are the formulas for Work?
Work = change in energy (J)
Work = Fs
Force x distance
What are formulas for power
remember P = Fv and that P = change in energy/time
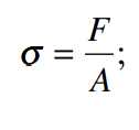
What is the formula for shear stress
F = force (N)
A = cross sectional area (m^2)
What is the formula for double shear
Stress = F/ 2 x A