Formulas Flashcards

(9 cards)

1
Q

Breakdown this formula:

A

F, is the Force on an object.
m, is the mass of the object.
a, is the acceleration of the object.

How well did you know this?
1
Not at all
2
3
4
5
Perfectly
2
Q

Breakdown this formula:

A

M, is the Moment on a lever/object.
F, is the Force on a lever.
d, is the distance in which the force acts on the lever.

How well did you know this?
1
Not at all
2
3
4
5
Perfectly
3
Q

Breakdown this formula:

A

This formula refers to the law of conservation of energy, which states that objects in equilibrium will have the sum of their Momentum or horizontal, and vertical forces equal zero.

How well did you know this?
1
Not at all
2
3
4
5
Perfectly
4
Q

Breakdown this formula:

A

F, is the Force on an object.
μ, is the coefficient of friction.
N, is the Reaction Force on the object.

How well did you know this?
1
Not at all
2
3
4
5
Perfectly
5
Q

Breakdown this formula:

A

μ, is the coefficient of friction.
ϕ, is the angle of repose, the angle in which the object on a slope begins to slide.

How well did you know this?
1
Not at all
2
3
4
5
Perfectly
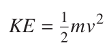
6
Q

Breakdown this formula:

A

KE, is the Kinetic energy of an object.
m, is the mass of the object
v, is the velocity of the object.

How well did you know this?
1
Not at all
2
3
4
5
Perfectly
7
Q

Breakdown this formula:

A

PE, is the Kinetic energy of an object.
m, is the mass of the object
g, is the gravity acting on the object.
h, is the height of the object.

How well did you know this?
1
Not at all
2
3
4
5
Perfectly
8
Q

Breakdown this formula:

A

W, is the Work of done on an object.

How well did you know this?
1
Not at all
2
3
4
5
Perfectly
9
Q

Breakdown this formula:

A
How well did you know this?
1
Not at all
2
3
4
5
Perfectly