Cargas elétricas
Carga elétrica elementar

Cargas elétricas
Carga elétrica

Eletrização
Eletrização por contato
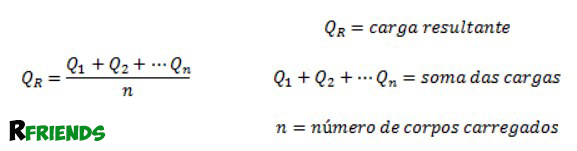
O cálculo da carga resultante após o processo é dado pela média aritmética entre a carga dos condutores em contato.

Força de interação entre cargas
Lei de Coulomb

Força de interação entre cargas
Constante elétrica no vácuo

Campo elétrico
Intensidade do campo elétrico

Potencial elétrico
Energia potencial elétrica

Potencial elétrico
Fórmula?

Potencial elétrico
Trabalho de uma força elétrica

Potencial elétrico
Diferença de potencial
