Pressão
Pressão em uma superfície

Pressão
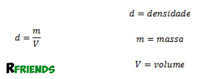
Densidade

Pressão
Pressão hidrostática

Pressão
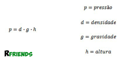
Teorema de Stevin

Pressão
Teorema de Pascal
“O acréscimo de pressão exercida num ponto em um líquido ideal em equilíbrio se transmite integralmente a todos os pontos desse líquido e às paredes do recipiente que o contém.”
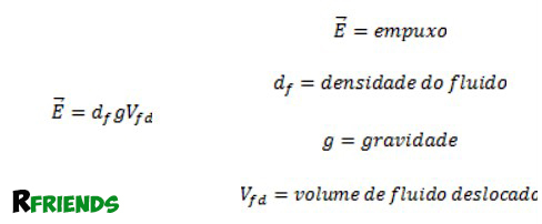
Empuxo
Formula?

Empuxo
Peso aparente

Estática de um ponto
Fórmula?

Estática de um corpo rígido
Estática de um corpo

Estática de um corpo rígido
Centro de massa

Estática de um corpo rígido
Momento de uma força - Torque
