Frequency Domain Analysis - Phasor Analysis and Laplace Transform to Fourier Analysis Flashcards

▪Describe the use of Phasor Analysis and Laplace transform compared to Fourier Analysis (19 cards)

1
Q

What is the main advantage of working in the frequency domain compared to the time domain?

A

It simplifies the convolution operation by replacing it with multiplication.

How well did you know this?
1
Not at all
2
3
4
5
Perfectly
2
Q

What is the relationship between input and output in the frequency domain for LTI systems?

A

Y(ω) = H(ω) * X(ω)

How well did you know this?
1
Not at all
2
3
4
5
Perfectly
3
Q

What does LTI stand for?

A

Linear Time-Invariant

How well did you know this?
1
Not at all
2
3
4
5
Perfectly
4
Q

What is the output response of an LTI system to a complex exponential input e^(jωt)?

A

The output is a complex exponential scaled by H(ω).

How well did you know this?
1
Not at all
2
3
4
5
Perfectly
5
Q

Fill in the blank: In the frequency domain, convolution is replaced by _______.

A

multiplication

How well did you know this?
1
Not at all
2
3
4
5
Perfectly
6
Q

True or False: Phasor analysis can be used to analyze transient signals.

A

False

How well did you know this?
1
Not at all
2
3
4
5
Perfectly
7
Q

What is the fundamental angular frequency (ω₀) formula for a periodic function of period T₀?

A

ω₀ = 2π/T₀

How well did you know this?
1
Not at all
2
3
4
5
Perfectly
8
Q

What is a Fourier series used for?

A

To express periodic signals in terms of sinusoidal components.

How well did you know this?
1
Not at all
2
3
4
5
Perfectly
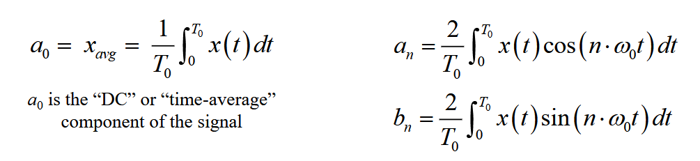
9
Q

What are the Fourier coefficients for a periodic function x(t)?

A
  • a₀ = (1/T₀) * ∫₀^T₀ x(t) dt
  • aₙ = (2/T₀) * ∫₀^T₀ x(t)cos(nω₀t) dt
  • bₙ = (2/T₀) * ∫₀^T₀ x(t)sin(nω₀t) dt
How well did you know this?
1
Not at all
2
3
4
5
Perfectly
10
Q

What does the term ‘fundamental’ refer to in Fourier analysis?

A

The n=1 term in the Fourier series, representing the base frequency of the periodic function.

How well did you know this?
1
Not at all
2
3
4
5
Perfectly
11
Q

What are the implications of LTI systems reacting to complex exponentials?

A

It allows for easy determination of output by scaling and shifting sinusoidal inputs.

How well did you know this?
1
Not at all
2
3
4
5
Perfectly
12
Q

What is the significance of the Laplace transform in system analysis?

A

It handles exponentials, transients, and system stability.

How well did you know this?
1
Not at all
2
3
4
5
Perfectly
13
Q

Fill in the blank: Fourier analysis decomposes signals into sums of _______.

A

sinusoids or complex exponentials

How well did you know this?
1
Not at all
2
3
4
5
Perfectly
14
Q

True or False: Fourier analysis can be applied to signals that grow exponentially.

A

False

Periodic signals only

How well did you know this?
1
Not at all
2
3
4
5
Perfectly
15
Q

What type of signals can be studied using Fourier analysis that cannot be handled by Laplace transforms?

A

Some signals do not have a Laplace transform but are Fourier transformable, like the sinc function.

and vice vera

How well did you know this?
1
Not at all
2
3
4
5
Perfectly
16
Q

What is the purpose of symmetry properties in Fourier analysis?

A

They determine the presence of cosine or sine terms in the Fourier series for even and odd signals.

17
Q

What is the role of the term ‘DC components’ in Fourier series?

A

They represent the average value of the periodic signal.

18
Q

What does the variable ‘s’ represent in the context of Laplace transforms?

A

s = σ + jω, where σ is the real part and ω is the imaginary part.

19
Q

Fill in the blank: The convolution-to-multiplication property is derived from transforming functions from the _______ to the frequency domain.