Funções Flashcards

(65 cards)

1
Q

Quais as 2 condições para que uma relação seja considerada uma função?

A

1) Todos os elementos do domínio estarem relacionados com algum elemento do contradomínio.
2) Cada elemento do domínio possuir uma única imagem

How well did you know this?
1
Not at all
2
3
4
5
Perfectly
2
Q

O que é a raiz de uma função?

A

Valor de x que anula a função. Logo é o valor que toca o eixo x no gráfico.

How well did you know this?
1
Not at all
2
3
4
5
Perfectly
3
Q

Em uma função f(x), _____________ é o conjunto dos valores que x pode assumir, enquanto _____________ é o conjunto dos valores que f(x) pode assumir.

A

Domínio;

Contradomínio.

How well did you know this?
1
Not at all
2
3
4
5
Perfectly
4
Q

Qual a diferença entre Contradomínio e Imagem de uma função ?

A

Contradomínio são os valores que f(X) pode assumir, enquanto Imagem são os valores que f(X) realmente assume.

How well did you know this?
1
Not at all
2
3
4
5
Perfectly
5
Q

Uma função pode não ser nem par nem ímpar?

A

Sim!

Ela pode ser sem paridade.

How well did you know this?
1
Not at all
2
3
4
5
Perfectly
6
Q

A imagem abaixo representa uma função?

A

Não, pois há elementos do domínio se relacionando com mais de um no contradomínio.

How well did you know this?
1
Not at all
2
3
4
5
Perfectly
7
Q

A imagem abaixo representa uma função?

A

Não, pois um dos elementos do domínio não tem correlação no contradomínio.

How well did you know this?
1
Not at all
2
3
4
5
Perfectly
8
Q

Qual a definição de uma função sobrejetora ?

A

Uma função em que o Conjunto Imagem é o próprio Contradomínio.

How well did you know this?
1
Not at all
2
3
4
5
Perfectly
9
Q

Qual a definição de uma função injetora?

A

Uma função em que cada elemento da Imagem só tem um único correspondente no Domínio.

How well did you know this?
1
Not at all
2
3
4
5
Perfectly
10
Q

A função abaixo é injetora?

A

NÃO!

How well did you know this?
1
Not at all
2
3
4
5
Perfectly
11
Q

Classifique a função abaixo em Sobrejetora, Injetora ou Bijetora:

A

Sobrejetora!

How well did you know this?
1
Not at all
2
3
4
5
Perfectly
12
Q

Classifique a função abaixo em Sobrejetora, Injetora ou Bijetora:

A

Injetora!

How well did you know this?
1
Not at all
2
3
4
5
Perfectly
13
Q

A função de 2º grau f(x) = x2 é função par ou ímpar?

A

Par!

How well did you know this?
1
Not at all
2
3
4
5
Perfectly
14
Q

A função f(x) = -3x é par ou ímpar ?

A

Ímpar!

How well did you know this?
1
Not at all
2
3
4
5
Perfectly
15
Q

Qual o número de horas em que os dois reservatórios contêm a mesma quantidade de água?

A

3!

How well did you know this?
1
Not at all
2
3
4
5
Perfectly
16
Q

Na função de 1º grau f(x) = ax + b, o que representam as constantes a e b?

A

a é o coeficiente angular e b é o termo independente.

How well did you know this?
1
Not at all
2
3
4
5
Perfectly
17
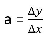
Q

Como determinar o a na função de primeiro grau?

A
How well did you know this?
1
Not at all
2
3
4
5
Perfectly
18
Q

Como determinar o b na função de primeiro grau?

A

Usando o ponto que toca o eixo y

How well did you know this?
1
Not at all
2
3
4
5
Perfectly
19
Q

Qual a lei da função no gráfico abaixo?

A

f(x) = -x + 2

How well did you know this?
1
Not at all
2
3
4
5
Perfectly
20
Q

Qual o valor de b na função abaixo?

A

-2

How well did you know this?
1
Not at all
2
3
4
5
Perfectly
21
Q

Qual o valor de a na função abaixo?

A

a = 25

How well did you know this?
1
Not at all
2
3
4
5
Perfectly
22
Q

Um taxista cobra R$ 3,50 de bandeirada mais R$ 0,70 por km rodado. Que função descreve o preço P(x) dessa corrida?

A

P(x) = 0,70x + 3,50

How well did you know this?
1
Not at all
2
3
4
5
Perfectly
23
Q

Qual a equação da função de 2º grau?

A

f(x) = ax2 + bx + c

How well did you know this?
1
Not at all
2
3
4
5
Perfectly
24
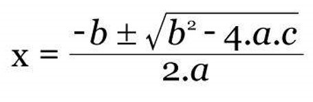
Q

Como encontrar as raízes da função de 2º grau?

A

Usando a fórmula de Bhaskara:

How well did you know this?
1
Not at all
2
3
4
5
Perfectly
25
Qual a fórmula fatorada da função de 2º grau?
**f(x) = a. (x-x1). (x-x2)** **Onde x1 e x2 são as raízes da função.**
26
Na função f(x) = x2 – 12x + 35, 12 representa a _________________ das raízes, enquanto 35 representa __________________ das raízes.
**Soma;** **Produto.**
27
Quais as raízes da função **f(x) = x2 – 12x + 35?**
Sabendo que 12 é a soma e 35 o produto das raízes, as raízes são **7** e **5**.
28
Como determinar as coordenadas do vértice da parábola de uma função de 2º grau?
29
Qual dos gráficos representa uma função com **a \> 0** e qual dos gráficos representa um **a \< 0?**
No 1º gráfico **a \< 0** e no 2º gráfico **a \> 0.**
30
Qual o valor de **´´c´´** nas funções abaixo?
**2;** **-1.**
31
No gráfico abaixo, ´´**b**´´ é positivo ou negativo?
Como a parte crescente do gráfico toca o eixo y; b é positivo.
32
Qual o valor que torna a função f(x) = x2 – 12x + 35 máxima?
Estamos falando do x do vértice: **Xv = -b/2a = 12/2 = 6.** 6 torna a função máxima.
33
Qual o valor máximo da função **f(X) = x2 – 12x + 35?**
**-1.**
34
Além de x = 1, qual o valor de x que torna f(x) = -5?
Usando como parâmetro o **eixo de simetria** que passa pelo Vértice, o outro valor de x que torna f(x) = 5 é -2.
35
Um vendedor de bonés vende **a unidade por 10 reais**, atingindo 30 clientes. Para cada **3 reais de desconto**, ele consegue atingir **8 clientes a mais.** Qual função representa o Arrecadamento do vendedor?
**A(x) = P(x) . N(x)** **A(x) = (10 – 3x). (30 + 8x)** **A (x) = -24x2 -10x + 300.**
36
**Qual o valor de x?**
**5!**
37
Qual o valor de x?
**3!**
38
Qual o valor de x?
**1/6**
39
Qual estratégia deve ser adotada para resolver a seguinte equação exponencial?
40
Qual estratégia deve ser adotada para resolver a seguinte equação exponencial?
Colocar o logaritmo em ambos os membros. Assim os expoentes poderiam ser deslocados para fora do logaritmo. Assim, **(x2 – 6). log 5 = (2x + 11) . log 8**
41
Essa função poderia ser f(x) = 2x ou f(x) = (1/2)x?
**f(x) = 2x, pois é uma função crescente.**
42
Essa função poderia ser **f(x) = 2x ou f(x) = (1/2)x**?
**f(x) = (1/2)x, pois é uma função decrescente.**
43
Quais os valores que ´´a´´ pode assumir na função: f(x) = ax ?
**a \> 0 e diferente de 1**
44
Como aplicar a definição **log ba = x ?**
**bx = a**
45
Qual o valor de **log 264 ?**
**6!**
46
Qual o valor de **log 381?**
**4!**
47
Qual o valor do **log 1?**
**0!**
48
Qual o valor do **log 10?**
**4!**
49
Qual o valor do **log 104?**
**4!**
50
Qual o valor de **10 log 8?**
**8!**
51
Qual é a propriedade que nos ajuda a desenvolver o termo log (m.n) ?
**log (m.n) = log m + log n**
52
53
Qual é a propriedade que nos ajuda a desenvolver o termo log mn ?
**log mn = n. log m**
54
Qual é a propriedade que nos ajuda a desenvolver o termo log bx m?
55
**Como mudar a base b do logaritmo log b a para uma base c?**
56
Calcule o **log 25125**, usando a mudança de base.
**Alterando a base de 25 para 5:**
57
**A função logarítmica é a função __________________ da função exponencial.**
**Inversa!**
58
Sabendo que o gráfico de uma função exponencial f(x) = 2x está representado na figura abaixo, qual seria o esboço da função logarítmica f(x) = log 2x?
59
O tempo de meia vida de um fármaco é de 1 hora. Descreva a função exponencial que descreve a concentração desse fármaco.
**Em que x = número de horas.**
60
O tempo de meia vida de um fármaco é de 2 horas. Descreva a função exponencial que descreve a concentração desse fármaco.
Em que x = número de horas.
61
O tempo de meia vida de um fármaco é de meia hora. Descreva a função exponencial que descreve a concentração desse fármaco.
Em que x = número de horas.
62
A concentração de uma substância **decai em 10%** a cada hora. Descreva a função exponencial que descreve a concentração desse fármaco em função do tempo.
**Cfinal = Cinicial . (90%)t** **Cfinal = Cinicial. (90/100)t**
63
A concentração de uma substância **decai a 30%** na primeira hora. Descreva a função exponencial que descreve a concentração desse fármaco em função do tempo.
**Cfinal = Cinicial . (30%)t**
64
O que é o tempo de meia vida de uma substância?
É o tempo necessário para reduzir a sua concentração a 50% da concentração inicial.
65