O que é um experimento aleatório?
Aquele que depende do acaso para ser escolhido um dos seus eventos.
O que é espaço amostral?
É o conjunto que representa todas as possibilidades de um experimento aleatório.
Qual o conceito de Probabilidade?
É a razão entre o número de eventos favoráveis e o número de elementos que compõem o espaço amostral:

Qual o número de elementos do espaço amostral no lançamento de dois dados?
Cada dado lançado há 6 possibilidades.
Pelo PFC, o espaço amostral possui 6 x 6 = 36 elementos
Qual o valor máximo de uma probabilidade?
Como o Número de elementos do evento deve ser menor ou igual ao número de elementos do espaço amostral. O valor máximo para uma probabilidade é 1 ou 100%.
De acordo com a tabela, qual a probabilidade de um funcionário calçar um número menor que 37?

Espaço amostral = 1 + 10 + 3 + 5 + 6 = 25
Evento (Menor que 37) = 5 + 6 = 11
P = 11/25
No lançamento de um dado não viciado, qual é a probabilidade de obtermos um número maior que 4?
Espaço amostral = 6
Eventos = [5,6] = 2
P = 2/6 = 1/3
Usando uma moeda não viciada, e sabendo que no último lançamento obtivemos CARA, qual é a probabilidade de obtermos CARA novamente no próximo lançamento?
½ ou 50%
No lançamento de dois dados não viciados, qual é a probabilidade da soma das faces voltadas para cima ser igual a 7?
Espaço Amostral = 6x6 = 36
Evento = Soma ser 7: (4;3) (3;4), (2;5), (5;2); (1;6); (6;1) = 6 elementos
P = 6/36 = 1/6.
Numa corrida, os cavalos A, B, C, D e E têm chances iguais de vencer. Um aficionado aposta que os animais A, B e C, nessa ordem, serão os três primeiros. A probabilidade de ele ganhar a aposta é:
Espaço amostral = Todas as possibilidades para as ordens dos 5 cavalos = 5! = 120 possibilidades
Evento = Fixando A, B e C, nessa ordem, nas 3 primeiras posições, podemos permutar a 4ª e a 5ª posição entre os cavalos D e E = 2! = 2
P = 2/120 = 1/60
Qual a definição do evento complementar?
É o subconjunto que somado ao evento em questão, resulta no espaço amostral completo.
Como calcular a probabilidade do evento complementar?

Em um lançamento de dado qual a probabilidade de não se obter um múltiplo de 3?
O evento na questão é complementar de obter um múltiplo de 3.
Logo P (EC) = 1 – 2/6
P (EC) = 2/3
No lançamento de dois dados, qual a probabilidade de pelo menos um ser ímpar?
Nesse caso, a palavra chave ´´pelo menos´´ nos indica o método da exclusão:
A probabilidade de pelo menos um ser ímpar é resultado de todas as possibilidades (1 ou 100%), excluindo a probabilidade de nenhum ser ímpar, ou seja, os dois lançamentos são pares = ½ . ½ = ¼
Assim P = 1 – ¼ = ¾
Que fórmula representa a probabilidade da união de dois eventos A e B mutuamente exclusivos?

Que fórmula representa a probabilidade da união de dois eventos A e B não mutuamente exclusivos?

Que fórmula representa a probabilidade de ocorrência simultânea de dois eventos independentes?

Numa festa de casamento, um garçom carrega duas bandejas com bebidas. Em uma delas tem 2 taças de vinho e 5 de champanhe, enquanto na outra tem 4 taças de vinho e 3 de champanhe. Qual é a probabilidade de alguém pegar uma taça de vinho de uma dessas duas bandejas?
Nesse caso, temos 2 eventos mutuamente exclusivos, considerando que ele vai pegar de uma bandeja ou de outra:
Assim:
1ª Bandeja: P = 2/7 x ½ (Chance de escolher essa bandeja)
2ª Bandeja: P = 4/7 x ½ (Chance de escolher essa bandeja)
Somando as duas:
2/14 + 4/14 = 6/14 = 3/7
O quadro funcional de uma empresa é composto de 35 pessoas efetivas e 15 pessoas prestadoras de serviços. Do pessoal efetivo 20 são homens e do pessoal prestador de serviço 5 são mulheres. Escolhendo aleatoriamente uma pessoa dessa empresa, a probabilidade dessa pessoa ser homem ou prestar serviço é:
Número de homens = 20 do setor efetivo + 10 dos prestadores de serviço = 30 homens
Número de prestadores de serviços = 15 pessoas
Número de homens prestadores de serviços = 10 homens
P = 30/50 + 15/50 – 10/50
P = 35/50
P = 7/10
Num estacionamento vazio existem 40 vagas numeradas de 1 a 40. Qual é a probabilidade do primeiro motorista que chegar estacionar numa vaga par ou de número maior que 10?
Número de vagas pares = 20
Número de vagas maiores que 10 = 30
Número de vagas pares e maiores que 10 = 15
P = 20/40 + 30/40 – 15/40
P = 35/40
Um aluno prestou vestibular em apenas duas Universidades. Suponha que, em uma delas, a probabilidade de que ele seja aprovado é de 30%, enquanto na outra, a probabilidade de sua aprovação sobe para 40%. Nessas condições, a probabilidade deque esse aluno seja aprovado em pelo menos uma dessas Universidades é de:
Devemos usar o método da exclusão.
P = 100% - Chance de ele não ser aprovado em nenhuma das duas
P = 100% - 70% x 40%
P = 100% - 28%
P = 72%
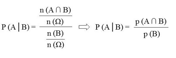
Qual fórmula descreve uma probabilidade condicional de um evento A, sabendo que B já ocorreu?

Qual a probabilidade de A ocorrer sabendo que B já ocorreu?

Assim a Probabilidade condicional será: 0,2 / 0,4 = 1/2

Em uma prova, um aluno acerta 60% das questões usando apenas seus conhecimentos. Escolhendo-se ao acaso uma questão que ele tenha acertado qual a probabilidade de ele ter acertado ´´chutando´´?
