General equilibrium Flashcards

(83 cards)

1
Q

What the 2 components of the market system?

A

Decentralization

Self interest

How well did you know this?
1
Not at all
2
3
4
5
Perfectly
2
Q

What is Decentralization and Self-interest?

A

Decentralization - people are not being instructed by anyone when they produce/consume ( self regulating)

Self interest - don’t intrinsically care about those who they are producing for/trading with ( maxmise own utlitiy)

How well did you know this?
1
Not at all
2
3
4
5
Perfectly
3
Q

Why is it called the market system and how are goods allocated?

A

We refer to a “system” because we are looking at the whole economy and how it works rather than any specific sector or market. The market system is for producing and allocating goods to people through price signals.

How well did you know this?
1
Not at all
2
3
4
5
Perfectly
4
Q

E.g if the demand of a good is high or a good is scarce, what must happen also in the understanding of market system, what main debates will we investigate in our models?

A

Prices must rise

We will look at efficiency and equity.

How well did you know this?
1
Not at all
2
3
4
5
Perfectly
5
Q

So in our standard model we are going to outline some notation, what is the notation for people and number of goods,

A

M people labelled i

N goods labelled j ( they consume n goods, its a number)

How well did you know this?
1
Not at all
2
3
4
5
Perfectly
6
Q

What do people have to generate income?

A

Each person has talents ( make goods) where they don’t have to be equal. ( they can be sold e.g. prem footballers talents can be sold)

How well did you know this?
1
Not at all
2
3
4
5
Perfectly
7
Q

We have a utility function which is similar to that of MT in terms of Ultity and labour, what is the standard assumption here?

A
How well did you know this?
1
Not at all
2
3
4
5
Perfectly
8
Q

What do we mean here about our market system, is a system of complete markets ?

A

There are complete markets when all possible variants of goods can be traded at defined prices. Assumption- we assume we can buy things that can be traded( you cant buy love)

How well did you know this?
1
Not at all
2
3
4
5
Perfectly
9
Q

What is the difference between general equibirum and partial equibrium ?

A

: General equilibrium models allow prices to be endogenously determined and change as preferences change. Whereas with partial equilibrium prices are fixed when preferences change, so your demand and supply ( increase or decrease taking into account price)

How well did you know this?
1
Not at all
2
3
4
5
Perfectly
10
Q

What do individuals have ( focusing on income here for our eventually budget constraint)

A

Endownments of goods ( like property rights)

How well did you know this?
1
Not at all
2
3
4
5
Perfectly
11
Q

How do you illustrate the total endowment of good j and the share of the endowment o good j of individual i?

A
How well did you know this?
1
Not at all
2
3
4
5
Perfectly
12
Q

If people have shares of endownments what is the total income of person i assuming they don’t work? ( REPRESENTING INCOME WHEN PEOPLE HAVE ENDOWNMENT OF GOODS

A

E.g in covid 19 if you owned ppe, prices rose as demand went up for those, hence income went up.
( So essentially its saying you have a bunch of goods,that are traded at certain prices and i can sell them to generate income

How well did you know this?
1
Not at all
2
3
4
5
Perfectly
13
Q

So we know that talents can be used to make income, now first of all denote talent on an individual and what is the total income assume, income is generated by supplying labour ( THIS IS WHAT WE USE IN OUR GE MODEL ESSENTIALLY THIS IS INCOME IN A PRODUCTION ECONOMY WHEN INCOME COMES FROM THE SUPPLY OF GOODS)?

A

e.g. suppose wage rate is 10 aij.this means price of good is 5 and you have talents of 2. ( or you make your talents 2ph) which means you earn 10 ph for producing talent. so you cano

How well did you know this?
1
Not at all
2
3
4
5
Perfectly
14
Q

How do you illustrate the supply of good j in general equilibrium?

A
How well did you know this?
1
Not at all
2
3
4
5
Perfectly
15
Q

What is our maximisation problem in general equilibrium and as we are focusing on 2 part economies what can the goods only be?

A

Goods can only be complements or substitutes

Maxmise utility subject to budget constraint.

How well did you know this?
1
Not at all
2
3
4
5
Perfectly
16
Q

So what are the 4 things that determines income in the general equilibrium model?

A

1) Distrubtion of endownments ( property rights)
2) Market prices
3) Distubtion of talents ( if talent is high demand, you get higher price)
4) Distubtion of effort ( labour supply)

How well did you know this?
1
Not at all
2
3
4
5
Perfectly
17
Q

So we know that general equilibrium looks at the allocation of goods and services as a whole, but we do it in a micro way, so the total demand for a good is what?

A

We sum all consumers in the economy to get Aggregate demand for a given good for a set of prices

How well did you know this?
1
Not at all
2
3
4
5
Perfectly
18
Q

What is a general equilibrium, equilibrium?

A

Prices are set so as to “clear” all markets simultaneously
The best way to think about this is in terms of “excess demand”, where excess demand = demand - supply = 0,when markets clear( if >0 this means supply doesn’t equal demand)

How well did you know this?
1
Not at all
2
3
4
5
Perfectly
19
Q

What is a quick clear intution about excess demand functions ( remember that excess demand = demand for good at specific price - supply of good at specific price. ( this tells us we cannot study labour markets in isolation.

A

1) Suppose that there are more people who are able to produce a particular good than demand it
-then excess demand is negative
-we would then expect the market clearing price to fall
=but may also affect markets for complements and substitutes for that
good ( changes demand and supply of other market)
2) If a good becomes is popular then excess demand for that good becomes positive
-we would expect the market clearing price to rise
-will affect other markets for complements and/or substitutes.

How well did you know this?
1
Not at all
2
3
4
5
Perfectly
20
Q

So with the initution of the excess demand functions, give an example of childcare?

A

Lets use childcare for example, childcare and labour supply, if there was excess demand for childcare, a lot of ppl wanted to put kids into childcare and supply their labour, then we expect price to go up, but given its more expensive to work, this will effect labour supply of ppl making the decision whether or not to supply labour.

How well did you know this?
1
Not at all
2
3
4
5
Perfectly
21
Q

What is walras law?

A

Walras’ law states that if one market is in equilibrium (there is no excess demand or supply) then so is the other. More generally this guarantees that with n markets only n−1 need to be cleared for the nth market to clear. Here it allows us to normalize p1 = 1 and clear the other market.

How well did you know this?
1
Not at all
2
3
4
5
Perfectly
22
Q

What is a numeraire?

A

as there is no money, only relative prices matter ( an item or commodity as a standard for currency exchange.) e.g. corn, you express corn in terms of how much corn you can buy for the same price as another good

How well did you know this?
1
Not at all
2
3
4
5
Perfectly
23
Q

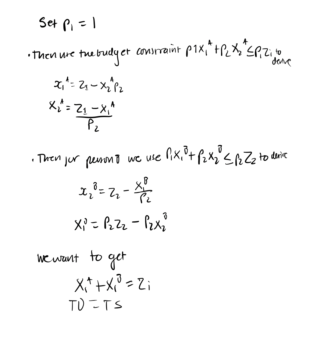
What are the 4 steps of solving this?

A

1) Make life easy by using the fact that we can set p1 = 1
2 Solve for demand functions
3 Set supply equal to demand
4 Solve for prices (using Walras law)

How well did you know this?
1
Not at all
2
3
4
5
Perfectly
24
Q

Do first step write the budget lines and find demands for good 1 and 2 for each person. using bduget constraint

A
How well did you know this?
1
Not at all
2
3
4
5
Perfectly
25
solve for the demand function for x1a and x2a for individual A
26
solve for the demand function for x1b and x2b for individual B
27
So now solve for equibirum price for good 2, we have the demand functions for each good now. ( HINT PROOF BOTH WAYS) DO this yourself by setting x2b + x2a = z2
28
What 3 big questions are we going to ask about in the general equilibrium model?
Consistency - is there a set of prices at which supply and demand are balanced in all markets? Effciency - In what sense, if at all, is the market system effcient? Distribution - Who gets what from the market system?
29
Who talks about fixed line theorem and what is summary of main premise?
Debreu - If supply and demand are continuous, then there will be a fixed point where demand and supply are equal and there will be no excess demand.
30
Show Debreu's analysis on diagram for excess demand in a single market? and explain it.
As prices are high, excess demand falls and supply increases, When prices a low, excess dmenad increases and this discourages supply, As you can see there is no jumps in supply and demand. Essentially you don't leave your pen off the paper IN THIS COURSE THERE WILL ALWAYS BE EQUIBRIUM IN MARKET.( SO IF THE SMOOTH LINE CUTS X AXIS, THERE MUST BE A EQUIBRIUM IN THE MARKET
31
Why Debreu's fixed point theroem important?
It explains the initution to have a general equilibrium in the economy, comes from the idea, when there is excess demand, prices will rise and when excess supply, prices will fall.
32
What is the role of the government in our basic general equibirum model?
1) Enforce property right ( makes sure property rights are respected) 2) enforce trades at agreed prices ( so the agreed price is the price we trade at, also they allow for anyonmous trade)
33
So far what have we assumed in the general equilibrium model?
so far, we took equilibrium prices and assumed one person had all of one good and the other had all the other good, one had property rights in one good and the other in the other good.
34
What is an edgeworth box?
Edgeworth boxes are a useful tool when considering the trade of two finite resources between two distinct economies.
35
We are now going to draw the edgeworth box but first what are the 2 main parts of the edgeworth box?
1) Where you start ( depends on how much you own of things, here there are shares of 2 goods and services. 2) Where you end up ( consumption after trade)
36
Draw an empty edgeworth box showing increasing in utility for individual A and B.
37
Now show an endowment point where Individual A has more food than Books. Then show indifference curves showing 'autarky( no trade) if they just consume endowment points. Indifference curves convex to their origin.
Anything not owned by A is owned by B | The indifference curves are convex relative to their origin.
38
Why is the autarky point not pareto efficient?
As there exists prices which they can trade such that both are on a higher indifference curve,thus better off. look at the gap.
39
So we know if both can trade , they can be better off with a set of relative market prices, show this trade line.
40
What would consitiute a general equilibrium point how is this different from theory of firm?
A set of relative prices where you can trade B for F or F for B, so you move to a higher IC such that the relative price is tangential to the slopw of the indifference curve. It must be simultaneously true.( hence optimising consumption bundle) In comparison theory of consumer, it was tangetical to the price ratio of given consumer
41
Lets say we have a change in distribution of property rights, but trading can happen what diagram can we draw to show this and draw it.
42
What is the Utility Possibility frontier?
The maximum attainable levels of utility for the consumers in an economy given the economy's endowment and technology. Varying the allocation traces out the frontier. A point below the frontier is not Pareto efficient.
43
Show a whole locus of points on the Utility possibility frontier and what does it mean?
Every point on utility possibility frontier is associated with a specific market equilibrium associated with a specfic allocation of endownments. ( general equilibrium points) Here on the diagram we have shown an allocation where there is equal amount of property rights and it corresponds to a general equilibrium.
44
To summarise moving around the upf can be thought of as what?
Lump sum redisturbtion of property rights, where the shares of food and books change, this will mean prices will change to clear markets depending of preferences of the 2 individuals, but they can steal achieve a general equilibrium.
45
What does the first fundamental welfare theorem state and how will it look like with edgeworth box?
That every general equilibrium is pareto efficient. | Its just points of tangency between indifference curves, where trade happens at specific prices.
46
Should we care about Pareto efficiency,draw to illustrate
Amartya Sen states that a society can be pareto optimal and still perfectly disgusting. Here basically person B has nearly all the food and books.
47
How can we think about this on a UPF?
48
What determines disturbtion of income again?
1) Distribution of endowments (property rights, if you start with more, you probably end up with more) 2) Market prices 3) Distribution of talent 4) Distribution of efort (labour supply)
49
What does this show ?
Even if people have identical endownments, the price at which those endownments can be sold affect distrubtion.
50
In a production economy what is income and what does income depend on?
51
What does this show?
A tradeoff between efficiency and equity. The point on the UPF is pareto efficient but highly unequal. Whereas the point under ppf has equal distubtion of endowments but it is pareto inefficient, so it depends which we care about.
52
What is interdependence between consumers driven by ?
the price system
53
What is the formula for peD.
IF it was good 2 it would be x2
54
55
Does it make sense to compare utilities in our model? (vegan and omnivore example)
Whether we can compare utilities depends on whether utility is interpersonally comparable as discussed in the lectures. Unless utility is cardinal and comparable the comparison is not very meaningful, so under our consumer theory assumption of ordinal utility we shouldn’t compare the utility of vegans and omnivores
56
57
58
( PART 1 FIND DEMAND FUNCTION FOR CHIARA, X2A AND X1A)
59
( PART 2 FIND DEMAND FUNCTION FOR Dimitria, X2b AND X1b) | Then solve for equilibrium price ratio
60
61
62
63
64
hint income is of a production economy
65
66
67
68
69
6 and 7)
70
TBA
71
72
What is the reading that relates to this?
Repungance as a constraint on Markets by - Alvin E.Roth(2007)
73
What is the repungance as a constraint on markets - Alvin E.Roth ( 2007) about?
The author looks at how society decides whether a transcation is good or bad, even when such transcations are very much alike. Repungant transcations are such that people dont want other people to engage in because they are inherently immoral or uncaring.
74
What are the 3 main arguments put forward by Roth(2007) on why the market for organs are not desirable?
1) Objectification 2) Coercion 3) Slippery slope
75
What is objectification described by Alvin E. Roth(2007)?
Monetary compensation for organs transform a good deed into a bad one.
76
What is coercion described by Alvin E. Roth(2007)?
money can be coecerive, allowing the poor to be exploited ( they see money is made and so make descions blindly)
77
What is slipperly slope described by Alvin E. Roth(2007)?
( may lead to common dystopia - organs may be used as collateral for debts).
78
Why is the market for meat similiar to this journal Repungance as constraint in markets?
Similiar to the 3 markets about the desirability of a market of organs. Animals cannot choose whether to donate their meat and die as a consequence. To decide whether to band meat, government should look at the sum of utlities of SWF if they care about that.
79
How can an edgeworth box diagram be useful in thinking about the case for allowing a competitive market in human organs to emerge? What doesn't the edgeworth box show explain and show can ergeworth box where Jack is indiviudal one, and Jill is individual 2, Jack has 3 units of food and 6 organs. Jill has 10 units of food and 4 organs. Both can trade. Show a pareto efficient outcome and where both can trade also show a contract curve.
It is useful to create an edgeworth box to illustrate that there can be gains from trade by creating a 2 good model with organs and another good, say food. It illustrates how trade only takes place if there is a pareto improvement at market prices, as agents can decide freely whether to trade. However the edgeworth box doesn't take into account other considerations such as ethical or religious concerns for instance.
80
Is the first fundamental welfare theorem a useful way of thinking about the ethics of such trade?
The first fundamental welfare theroem states that every general equilibrium is pareto efficient. Hence if trade exists such that the indifference curves are tangent to each other trade can exists, but again it tells us nothing about the wider issues of ethics. ( Maybe think about this) Also an efficient economy needs to satisfy 2 things NS and no externality NS = more organs is not better, unless you plan to sell them No externality - if you express you dont like this market, it creates a disutlity and presents an externality.
81
Why do you think that trade of this kind banned in most context? Could this be captured within the general equlibrium framework?
1) Objectification 2) Coercion 3) Slippery slope This could be captured in the General equilbirum model, if we dont take repungance with sufficient seriousness ( economists would like to do this), so essentially we are taking the legal price as 0.
82
Who should decide which markets should be banned and what criteria should they use?
This depends on who we think( as society) should have the rights to make descions effecting the entire populaiton. Maybe the government, or individuals. Maybe banning will mean that everybody will have the same rules to follow, however, this comes at a tradeoff to people who don't want it banned. In terms of criteria, who decides fate in such market, should ensure that reaching an equilbrium improves welfare according to some SWF.
83
Why allow donations of organs even if trading in a market is banned?
Organs donations are not perceived in the same away, they are altruistic gesture, also there is a huge demand for organs, that need to be met one way or the other.