Innovation Flashcards

(43 cards)

1
Q

What are 2 main dimensions of innovation?

A

Product and process innovation

How well did you know this?
1
Not at all
2
3
4
5
Perfectly
2
Q

What is product innovation and process innovation?

A

Product innovation = new goods and services

Process innovation = making existing things more cheaply

How well did you know this?
1
Not at all
2
3
4
5
Perfectly
3
Q

Do governments stimulate innovation and are many kinds of innovations public goods?

A

government also subisidies private investment ( innovation)
Many kinds of innovations are a public good( although most of time their are patents, if there wasn’t this framework, this could have the same effect as public good Prisoners dilemma, as people are free riding the public good.

How well did you know this?
1
Not at all
2
3
4
5
Perfectly
4
Q

What is a patent?

A

basically stops ideas from have elements of a public good ( the idea that ideas are non-depletable), you register your idea and no on can use it. There is needs to a legal framework to establish it.

How well did you know this?
1
Not at all
2
3
4
5
Perfectly
5
Q

What is the central dilemma for the government in terms of patents?

A

If government wants to persuade people to innovate, it wants to give people strong protection for their property rights, but once you have created the innovation you want it to be used as many people as possible, hence you don’t want people to have a monopoly anymore, you want the innovation to spread. ( e.g. pharmaceutical companies, the government want innovations to be spread and lower costs, but undermines incentive of the companies.

How well did you know this?
1
Not at all
2
3
4
5
Perfectly
6
Q

So what is this dilemma for patents a trade off between ?

A

Static efficiency - we want firms to price at MC, and goods to be as cheap as possible
However this is a poor incentive for more innovation
Dynamic efficiency ( difficult for lots of innovation)

How well did you know this?
1
Not at all
2
3
4
5
Perfectly
7
Q

We are going to model innovation now,
So suppose that an entrepreneur is contemplating putting effort into inventing a new good - success is unknown/uncertain. ( more effort, the more likelihood of success)
If she is successful, then she can file a patent this will make her a monopolist when selling this new good
and she can earn monopoly profits
If she is unsuccessful then the effort put into it is wasted
We will work with a very simple general equilibrium model with 2 goods
1) old good ( numeraire)
2) A new good whose price is determined endogenously by setting Supply = demand.
Everyone consumes the old good and there is demand for the new good when it comes along
SO WHAT WE ARE GOING TO DO IS
So we have to specify a utility function for consumers for the new good
Then derive the demand function
Then work out the equilibrium price
So firstly in the upcoming model, what do we want to find out?
What is the utility function of the consumers to whom the innovator sells to?

A

What determines the rate of innovation and whether it is socially optimal the rate that we find.
Where A is the parameter which tells you how valuable the new good is if it comes to being. from the goods and parameter B tells how price senstitive consumers are to price. ( if B is high consumers are very price sensitive.

How well did you know this?
1
Not at all
2
3
4
5
Perfectly
8
Q

Why has the utility of the new good a quadratic function?

A

it is concave in x2 and it will give a linear demand function which is nice to work with.

How well did you know this?
1
Not at all
2
3
4
5
Perfectly
9
Q

Consumers have income m comprised of endowments units of x1
we use the price of good one as the numeraire p1 = 1
There are M consumers and a single potential innovator
If she innovates the innovator charges p for each amount of the new
good sold
note that we are using p = p2 but there is no risk of confusion since
p1 = 1.We will ignore the role of the innovator as a consumer
i.e., the innovator only consumes good 1.
she has an endowment of good 1 just like everyone else if she does not
become an innovator.
The innovator commits effort to innovation, effort determines probability of successful innovation
What is the effort cost of achieving innovation probability e? ( similar to moral hazard?

A
e  = 1 you put in so much effort to innovate you will deffo create suttin
e = 0 no effort so no innovation.
How well did you know this?
1
Not at all
2
3
4
5
Perfectly
10
Q

What will be the timeline for our events with innovation or without innovation?

A

1) The entrepreneur decides on e which determines the probability that
a new good is invented
2) If the good is not invented then it is business as usual in a world of
only good 1
3) If the good is invented, the entrepreneur commercializes it and
chooses the price at which she will sell it produces an amount of good
4) Whether in situation 2 or 3, production and consumption takes place
determining the utilities of consumers and the entrepreneur

How well did you know this?
1
Not at all
2
3
4
5
Perfectly
11
Q

Let look at boring case first, a world with no innovation, how many goods are produced, what is their consumption and ultity?

A

There is only good one
M + 1 units of the good are produced
everyone sets x1 = m and consumes their endowment
their utility is also m

How well did you know this?
1
Not at all
2
3
4
5
Perfectly
12
Q

Now lets look at the more fun case, i.e when the new good has been invented,
What is the demand for the consumer?

A

sub in budget constraint so it is written in terms of only one good
maxmise the function with respect to x2 then solve for x2
So if the price of the innovation is high i consume less of it.

How well did you know this?
1
Not at all
2
3
4
5
Perfectly
13
Q

What are monopoly profits with successful innovation?

A

M is number of people demanding good.

How well did you know this?
1
Not at all
2
3
4
5
Perfectly
14
Q

What are we going to assume about demand if its sold at marginal cost firstly?

A
How well did you know this?
1
Not at all
2
3
4
5
Perfectly
15
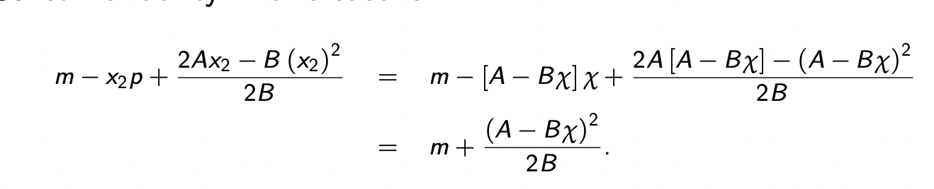
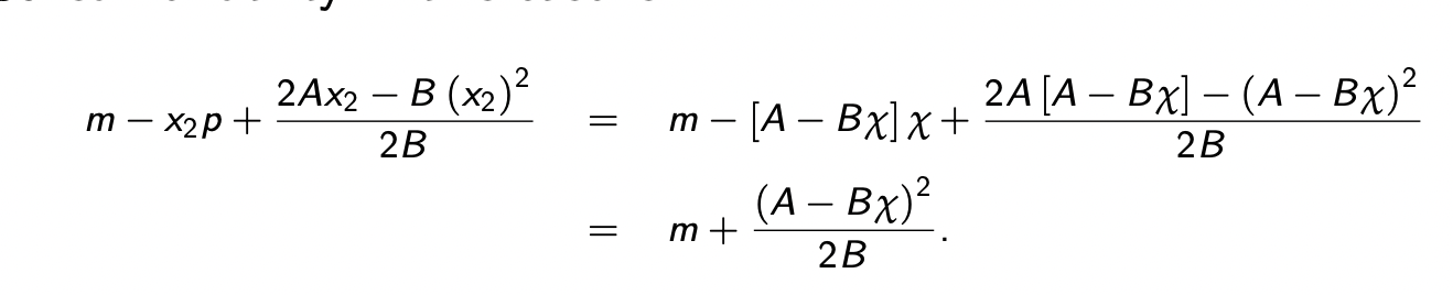
Q

What are we going to do with the profit function?

A

We are going to maxmise the profit function which is a quadratic and madmose with respect to P, then figure out the price the innovator can get for her product
PRICE IS BIGGER THAN MC

How well did you know this?
1
Not at all
2
3
4
5
Perfectly
16
Q

Now sub the maxmising price into the profit formula for the innovator and find the maximising profit?

A
How well did you know this?
1
Not at all
2
3
4
5
Perfectly
17
Q

When is profit higher?

A

the innovation is more useful - higher A
there is a larger potential market - higher M
consumers are less price sensitive ( you can put up price without reducing demand a lot) - lower B

How well did you know this?
1
Not at all
2
3
4
5
Perfectly
18
Q

What is the consumers ultity with successful innovation ( HINT sub in the price and demand for good 2?

19
Q

What is the entrepreneurs utility function?

What is the optmal level of effort for the entrepreneur?

20
Q

Plug in the expression for profit into the optimal e ?

When is innovation higher?

21
Q

We want to look at societal benefit of innovation so We will add the producer and consumer surplus ( sum of total profits + total consumer ultitiy) What price maximises the sum of producer and consumer utility?

A

We take FOC of total surplus with respect to p and set = 0, to get price = mc.
Hence profit = 0.

22
Q

Suppose the social planner cares about utility + profit when p = mc
What is consumer ultitiy? ( HINT use the consumer ultity equation and sub in the price?

23
Q

IF WE SUM CONSUMER AND PRODUCER SURPLUS WITH P = MC, WHAT IS THE TOTAL SURPLUS OF INNOVATION. ( DONT WORRY ABOUT MATHS HERE IF YOU DONT GET IT) ( SOCIAL PLANNER INNOVATION)
What i have attached you at Consumer surplus.

24
Q

What is the optimal level of innovation( effort) when the focus is not to maxmise profit from social planner but to maxmise social welfare.
HINT THE FUNCTION IS SIMILAR TO THAT OFF WHEN WE WANTED TO MAXMISE EFFORT FROM THE WHEN FOCUS WAS PROFIT FOR INNOVATOR

25
So comparing optimal innovation ( social welfare) with producer surplus innovation shows what?
Welfare objective always gives a higher level of innovation, so market innovates at a too low rate why? 1) because the entrepreneur cares only about profits( it only innovates according to the share of the benefits that can be captured as profits, they are not altrustics. 2) 2 Even if the consumerís welfare was taken into account, monopoly pricing leads to a welfare los
26
As the market provides innovation too slowly what does this motivate?
Government intervention to solve 2 problems 1) the market doesn't take into account consumer benefits 2) monopoly pricing leads to welfare loss. Governments often subsidize private R&D but innovators need to be motivated.
27
So incentive for the innovators are important, we want an e = W/C but this doesn't incentives innovation, so if we were to give a price what would be the level that incentivises innovation. What is the problem
The optimal prize would be whoever created the innovation gets all of the social surplus they created ( sum of CS + PS). But this would make the person who produced the innovation very rich ( this is more than what they would of been enriched, when they just get the profit from producer surplus, they get that + consumer surplus). HENCE SOCIETY HAS TO TRADE SIZE OF REWARD AGAINST RATE OF INNOVATION.
28
SO WE ARE TRYING TO FIND OPTIMAL PRIZE( BONUS) Lets say we cannot monitor entrepreneur effort ( private innovation) thus social planner cannot contract on effort,( similar to moral hazard), we know that a fixed wage will not incentive effort, only bonuses will, this bonus is funded by taxes What is the payoff to the entrepreneur and what is the payoff to society with a bonus.
29
What is the optimal EFFORT and sub that into the societys payoff?
30
What is the optimal bonus and sub into rate of innovation( effort equation), then sub into the entrepreneur equation
31
What do we find out with comparing the innovation rate between the market and the optimal rate ?
32
What could be a critique of innovation?
One critique of the market is that a lot of innovation is about creating things that we do not need. This relates to the idea of experience versus decision utility.
33
What is overconfidence and how does it boost innovation ?
entrepreneurs appear to be overconfident ( exaggerating the success probability, hence they will exert higher effort, this will boost rate of innovation. And an individual could choose to become an entrepreneur even if their objective outside option is lower.
34
How can we model overconfidence ?
35
What is intrinsic motivation and how can it be incorporated in our model?
as the doing of an activity for its inherent satisfaction rather than for some separable consequence
36
What paper relates to innovation?
How can we encourage medical breakthroughs to combat Covid-19?- Chalkidou et al? (2020)
37
How does the patent system affect the kind of innovation that we see? - How can we encourage medical breakthroughs to combat Covid-19?- Kaslipso Chalkidou et al? (2020)
The patent system is designed to encourage medical breakthroughs by preventing other firms from producing the new technology during the life of the patent and competing down prices. Thus can charge high prices and make high profits. But the high prices that result from this system slow down access to the technology for low income populations, hence not avaliable in those areas from time.
38
What problem does the patent system affect the kind of innovation that we see for vaccines? - How can we encourage medical breakthroughs to combat Covid-19?- Kaslipso Chalkidou et al? (2020)
An innovation of vaccines for infectious diseases such as Covid-19 is important, for every level of society. Hence patent system has an averse affect here because firms want to invest in technology with rapid payoffs, not vaccines which take long to develop.
39
Does it make sense to use private firms to innovate? How can we encourage medical breakthroughs to combat Covid-19?- Kaslipso Chalkidou et al? (2020)
Yes because the private sector has specialises in the field with a greater idea of the market e.g. private sector have a better idea of investment opportunites. Also the high expected revenue can incentivise them in R&D and increase innovation. This is not the case with government as they wouldnt charge monopoly price and would deter firms from innovating with low prices from government.
40
What is the case of public subsidies and are they likely to be effective? How can we encourage medical breakthroughs to combat Covid-19?- Kaslipso Chalkidou et al? (2020)
The most effective approach to encourage innovation will involve 'push' subsidies for early-stage, risky work and 'pull' incentives to gurantee demand for sucessful technologies. e.g. science and medical research are risky so spending on research and early stage technologies should support many independent efforts.
41
Should public subsidies be results based? How can we encourage medical breakthroughs to combat Covid-19?- Kaslipso Chalkidou et al? (2020)
A concern with subsiding research directly is that it is hard for the funder to identify which projects are likely to be the succesful ones. The most effective approach for encouraging innovation is likely to be government grants and subsidies for trials of promising technologies,
42
Is there a case for government directly engaging in research? How can we encourage medical breakthroughs to combat Covid-19?- Kaslipso Chalkidou et al? (2020)
Government as a social planner will anticipate consumer welfare/welfare loss and try to correct it, but they would have to monitor efforts of innovators and this can introduce moral hazard problems. Also innovators seems to invest in short term projects because patents might not last long rather than long term benefical projects, so the government might be better to manage investment.
43
If `there exists dominant strategy there must not be a?
There will never be a mixed strategy NE intuitvely because a dominant strategy is one we always prefer to play