Hypotenuse = 10
Sides = 6 & 8
Hypotenuse = 15
Sides = 9 & 12
Hypotenuse = 17
Sides = 8 & 15
Hypotenuse = 26
Sides = 10 & 24
Sum of Any Two Sides of a Triangle
> 3rd side
Difference of Any Two Sides of a Triangle
< 3rd Side
Exterior Angle of a Triangle
A = C+D

30-60-90 Triangle
Ratio of Sides
** x : x(3)1/2 : 2x**
1 : (3)1/2 : 2
45-45-90 Triangle
Ratio of Sides
x : x: x(2)1/2
1 : 1 : (2)1/2
Sum of interior angles in a polygon with n sides
180 (n-2)
Measure of One Interior Angle

Volume of a Sphere
Volume of a Cylinder
Suface Area of a Cylinder
=
2(πr<span>2</span>) + 2(πrh)

Suface Area of a Sphere
=
4πr2

Area of Trapezoid
1/2 (sum of bases)(height)

Isoceles Trapezoid
A trapezoid in which the sides (not the bases) are of equal length

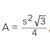
Area of an Equilateral
(shortcut formula )
Optimal use:
Given = one side of the triangle and you are asked to find area from that one side.

Area of Reg. Hexagon

Characteristics of a (regular) Hexagon

Suplementary Angles
Form a straight line
&
= 180o

Quadrilaterals
Parralellograms, Square, & Rectangles
Characteristics of a Parallelogram
Area of the Parallelogram
