For an “overlapping sets” problem with three overlapping compenents requiring three circles…
The TOTAL
=
(A+B+C) - (Σ Doubles) - 2(Σ Triples) + N
or
(ComponentA + ComponentB + ComponentC) - (Sum of the Doubled Compenents) - 2(Sum of Tripled Components) + Neither category
y = mx + b
what does each letter represent?

Slope of Perpendicular Bisector Line
= Negative reciprocal of the original line
Original Line Slope = 1/2
Perpendicular bisector line = -2
Given: Initial Coordinate (a,b)
What else do you need to define a line?
One of the following…
Y Intercept
Where the line in question crossed the Y axis
X must equal “0”
Point must be in this form: ( 0,Y )
X Intercept
Where the line in question crossed the X axis
Y must equal “0”
Point must be in this form: ( X,0 )
Parallel Lines
Same slope
Different y-intercepts
Line Reflection over the X-axis
( x,y )
becomes…
( x,-y )
Line Reflection over the Y-Axis
( x,y )
becomes
( -x,y )
Reflection over the Origin
(Point Reflection)
( x,y )
becomes
( -x,-y )
Reflecting a Polygon
Reflect vertices as directed
over the x-axis, y-axis, or origin
connect the dots = newly reflected polygon!
Y = X Line Reflection
( x, y )
becomes
( y, x )
Y = -X Line Reflection
( x,y )
becomes
( -y, -x)
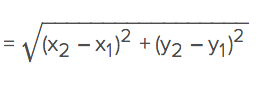
Distance )( two points
=

Same y-coordinates
Point A = ( 3,2 )
Point B = (-5,2 )
then the distance )( the two points
=
The absolute value of the difference between the x coordinates
Distance = 2
3-5 |
Same x-coordinates
Point A = ( 4,5 )
Point B = ( 4,2 )
then the distance )( the two points
=
The absolute value of the difference between the y coordinates
Distance = 3
5-2 |
Calculating the Mid-Point )( two points

Reflection over point ( a,b )
When point ( x,y ) is reflected over point ( a,b )
the new ( x,y ) ⇒ ( 2a-x, 2b-y )
Reflection over line x = a
( x,y ) ⇒ ( 2a-x,y )
Reflection over line y = b
( x,y ) ⇒ ( x, 2b-y )