GIPS Flashcards

(47 cards)

1
Q

GIPS Committees and Subcommittees

A
  • Executive committee
  • Interpretations Subcommittee
  • Regional Investment Performance Subcommittees (RIPS)
  • Nominations Committee
How well did you know this?
1
Not at all
2
3
4
5
Perfectly
2
Q

The GIPS standards require firms to show investment performance for a minimum of

A

five years, or since the inception of the firm or composite if either has existed for less than five years. After presenting at least five years of GIPS-compliant history, the firm must add annual performance each subsequent year building to a minimum of 10 years

How well did you know this?
1
Not at all
2
3
4
5
Perfectly
3
Q

In general, firms may link non-GIPS-compliant performance to their GIPS-compliant performance so long as

A

only GIPS-compliant returns are presented for periods after 1 January 2000 and the firm discloses the periods of non-compliance

How well did you know this?
1
Not at all
2
3
4
5
Perfectly
4
Q

For periods prior to 1 January 2005, cash flows can be assumed to occur at the midpoint of the measurement period when using the Modified Dietz formula

A
How well did you know this?
1
Not at all
2
3
4
5
Perfectly
5
Q

Time-weighted rate of return using the Modified Dietz method

A
  • wi = the proportion of the measurement period, in days, that each cash flow has been in the portfolio
  • wi = (CD − Di) / CD
  • CD = calendar days in the period
  • ∑ (CFi × wi) is the sum of each cash flow multiplied by its weight and CF = ∑ CFi

The citation provided is a guideline. Please check each citation for accuracy before use.

How well did you know this?
1
Not at all
2
3
4
5
Perfectly
6
Q

The Modified IRR method

A
How well did you know this?
1
Not at all
2
3
4
5
Perfectly
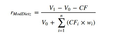
7
Q

Sum of beginning assets and weighted external cash flows (Modified Dietz formula denominator)

A
  • V0 is the portfolio’s beginning value
  • ∑(CFi*wi) is the sum of each portfolio’s weighted external cash inflows and outflows
  • CD is the total number of calendar days in the period
  • Di is the number of calendar days since the beginning of the period to the time cash flow CFi occurs
How well did you know this?
1
Not at all
2
3
4
5
Perfectly
8
Q

Composite return calculation under the beginning assets weighting method

A
  • rC is the composite return
  • rpi is the return of an individual portfolio i
  • V0,pi is the beginning value of portfolio i
  • ∑V0,pi is the total beginning value of all the individual portfolios
How well did you know this?
1
Not at all
2
3
4
5
Perfectly
9
Q

Composite return calculation under the beginning assets weighted cash flows

A
  • rC is the composite return
  • rpi is the return of an individual portfolio i
  • Vpi is the beginning value of portfolio i // Vp = V0 + ∑(CFi*wi)
How well did you know this?
1
Not at all
2
3
4
5
Perfectly
10
Q

Criteria for including a carve-out in a composite

A

A carve-out must not be included in a composite unless the carve-out is managed separately with its own cash balance

How well did you know this?
1
Not at all
2
3
4
5
Perfectly
11
Q
  • Gross-of-fees return
  • Net-of-fees return
A
  • The return on investments reduced by any trading expenses incurred during the period
  • The gross-of-fees return reduced by the investment management fees
How well did you know this?
1
Not at all
2
3
4
5
Perfectly
12
Q

Gross-of-fees return deductions

A

Only direct trading expenses should be deducted in calculating gross-of-fees returns. Custodial fees cannot be considered a component of direct trading expenses

How well did you know this?
1
Not at all
2
3
4
5
Perfectly
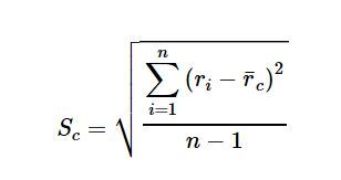
13
Q

Equally weighted standard deviation

A
  • ri is the return of each individual portfolio
  • ¯rc is the equal-weighted mean or arithmetic mean return of the portfolios in the composite
  • n is the number of portfolios in the composite
How well did you know this?
1
Not at all
2
3
4
5
Perfectly
14
Q

Asset-weighted standard deviation

A
  • ¯rproxy is the asset-weighted mean return of all portfolios
  • wi is the weight of portfolio i, calculated as the ratio of the beginning value of portfolio i to the total beginning value of the assets of all portfolios
  • wi=(V0,i / V0,Total)
How well did you know this?
1
Not at all
2
3
4
5
Perfectly
15
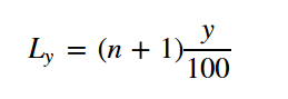
Q

An approximation for the position of a percentile y in an array with n entries sorted in descending order

A
  • n is the number of entries
  • y is the percentile being approximated
How well did you know this?
1
Not at all
2
3
4
5
Perfectly
16
Q

Closed-end funds ratios (must be disclosed at the end of each period)

A
  • Commited capital
  • Paid-in-capital
  • TVPI (Total value to since-inception paid-in-capital)
  • DPI (Distribution to since-inception paid-in-capital)
  • PIC (Since-inception paid-in-capital to commited capital)
  • RVPI (Residual value to since-inception paid-in-capital)
How well did you know this?
1
Not at all
2
3
4
5
Perfectly
17
Q

Advertisements that state a claim of compliance and present performance must present one of the following sets of total returns

A
  • One-, three-, and five-year annualized composite returns through the most recent period
  • Period-to-date composite returns in addition to one-, three-, and five-year annualized composite returns through the same period of time as presented in the corresponding compliant presentation
  • Period-to-date composite returns in addition to five years of annual composite returns calculated through the same period of time as presented in the corresponding compliant presentation
How well did you know this?
1
Not at all
2
3
4
5
Perfectly
18
Q

Required items to be contained in composite performance presentations

A
  • At least five years of performance (or for the period since the firm’s inception or the composite inception date if the firm or the composite has been in existence less than five years) that meets the requirements of the GIPS standards. After a firm presents a minimum of five years of GIPS-compliant performance (or for the period since the firm’s inception or the composite inception date if the firm or the composite has been in existence less than five years), the firm must present an additional year of performance each year, building up to a minimum of 10 years of GIPS-compliant performance
  • Composite returns for each annual period. Composite returns must be clearly identified as gross-of-fees or net-of-fees
  • For composites with a composite inception date of 1 January 2011 or later, when the initial period is less than a full year, returns from the composite inception date through the initial annual period end
  • For composites with a composite termination date of 1 January 2011 or later, returns from the last annual period end through the composite termination date
  • The total return for the benchmark for each annual period. The benchmark must reflect the investment mandate, objective, or strategy of the composite
  • The number of portfolios in the composite as of each annual period end. If the composite contains five or fewer portfolios at period end, the number of portfolios is not required
  • Composite assets as of each annual period end
  • Either total firm assets or composite assets as a percentage of total firm assets, as of each annual period end
  • A measure of internal dispersion of individual portfolio returns for each annual period. If the composite contains five or fewer portfolios for the full year, a measure of internal dispersion is not required
  • The annualized three-year ex post standard deviation of composite and benchmark returns
How well did you know this?
1
Not at all
2
3
4
5
Perfectly
19
Q

Real estate investments

A
  • For periods beginning on or after 1 January 2008, real estate investments must be valued at least quarterly
  • For periods beginning on or after 1 January 2011, real estate investments must be valued in accordance with the definition of fair value and the GIPS Valuation Principles
  • Real estate investments must be valued by an external professionally designated, certified or licensed commercial property valuer or appraiser at least once every 36 months for periods prior to 1 January 2012 and, unless client agreements stipulate otherwise, at least once every 12 months thereafter
  • In addition to total return for real estate, firms must calculate the time-weighted returns of the income and capital return components
  • For closed-end real estate fund composites, the GIPS standards also require firms to present the net-of-fees since-inception internal rate of return (SI-IRR) of the composite through each annual period-end
20
Q

Private equity investments

A
  • For periods ending on or after 1 January 2011, private equity investments must be valued in accordance with the definition of fair value and the GIPS Valuation Principles, they must be valued at least annualy, and the annualized SI-IRR must be calculated using daily cash flows
  • Performance presentations for private equity composites must include the gross-of-fees and net-of-fees SI-IRR of the composite through the end of each annual period
21
Q

Closed-end real estate fund composite and private equity required disclosures

A
  • Composite since inception paid-in capital
  • Composite since inception distributions
  • Composite cumulative committed capital
  • Total value to since inception paid-in capital (investment multiple or TVPI)
  • Since inception distributions to since inception paid-in capital (realization multiple or DPI)
  • Since inception paid-in capital to cumulative committed capital (PIC multiple)
  • Residual value to since inception paid-in capital (unrealized multiple or RVPI)
22
Q

Wrap fee

A

When firms present performance to prospective wrap fee/SMA clients, they must present the performance net of the entire wrap fee

23
Q

Frequency of return calculations

A

Returns must be calculated on a monthly basis for periods beginning on or after 1 January 2001

24
Q

According to the GIPS standards, the correct order of valuation methodologies is

A
  1. Objective, observable quoted market prices for similar investments in active markets
  2. Quoted prices for identical or similar investments in markets that are not active
  3. Market-based inputs other than quoted prices that are observable for the investment
  4. Subjective, unobservable inputs
25
Frequency and timing of portfolio valuations
26
Custody fees
Should not be considered direct trading expenses even when they are charged on a per-transaction basis
27
Bundled fees (combined fees)
When actual trading expenses cannot be identified and segregated from a bundle fee, the gross-of-fees return must be reduced by the entire amount of the bundled fee or by that portion of the bundled fee that includes the trading expenses
28
GIPS general requirement
* At least five years of annual performance (less if the firm or composite has been in existence for a shorter period), the GIPS-compliant performance record must then be extended each year until 10 years’ results have been presented * Composite and benchmark annual returns for all years; the number of portfolios (if six or more) * The amount of assets in the composite; either the percentage of the firm’s total assets represented by the composite or the amount of total firm assets at the end of each period * A measure of internal dispersion of individual portfolio returns for each annual period if the composite contains six or more portfolios for the full year * For composites with an inception date on or after 1 January 2011, when the initial period is less than a full year, firms must present returns from the composite inception date through the initial annual period-end
29
In the absence of an objective, observable, unadjusted quoted market price for an identical investment in an active market on the measurement date
The valuation must represent the firm’s best estimate of the market value
30
Returns from cash and cash equivalents held in portfolios
Must be included in the total return calculation even if the cash is not actually invested by the same person or group
31
Trading expenses definition
* The actual costs of buying or selling investments * Includes: * Brokerage commissions * Exchange fees and/ or taxes * Bid-offer spreads from either internal or external brokers * Does not include: * Custodial fees (flat or charged per transaction)
32
Presentation of terminated portfolios performance
Terminated portfolios must be included in the historical performance of the composite up to the last full measurement period that each portfolio was under management
33
Composites inclusion of new portfolios
Composites must include new portfolios on a timely and consistent basis after each portfolio comes under management
34
Sub-advisors
For periods beginning on or after 1 January 2006, firms must disclose the use of a sub-advisor and the periods a sub-advisor was used
35
Composites number of portfolios and disclosure
There is no minimum or maximum number of portfolios that a composite may include. The Standards require that firms disclose the number of portfolios in each composite as of the end of each annual period presented, unless there are five or fewer portfolios
36
Periods of non-compliance before 1 January 2000
Firms must disclose the period of non-compliance
37
Use of leverage, derivatives and short positions
Firms must disclose the presence, use, and extent of leverage, derivatives, and short positions, if material, including a description of the frequency of use and characteristics of the instruments sufficient to identify risks
38
Composites required disclosures
* The availability of a list of composite descriptions is required * The availability of policies for valuing portfolios, calculating performance, and preparing compliant presentations is required * If the firm has included non-fee-paying portfolios in its composite, the percentage of the composite assets represented by non-fee-paying portfolios must be disclosed as of the end of each annual period * The composite creation date must be disclosed * The presentation must include information about the treatment of withholding taxes on dividends, interest income, and capital gains, if material (global composites) * Both a composite description and benchmark description must be disclosed * A fee schedule appropriate to the compliant presentation must be disclosed * The firm must disclosre wether presented returns are net or gross of fees
39
General disclosure requirements
* The GIPS standards state that performance periods of less than one year must not be annualized * GIPS verification cannot be performed for a single composite * For periods beginning on or after 1 January 2001, portfolios must be valued at least monthly. For periods beginning on or after 1 January 2010, portfolios must be valued on the date of all large cash flows * A firm must use the appropriate compliance statement as specified in the GIPS standards. There are no allowances for partial compliance * The firm must disclose which measure of internal dispersion is presented * The GIPS standards state that accrual accounting must be used for fixed-income securities and all other investments that earn interest income * If a composite includes portfolios with bundled fees, the firm must present the percentage of composite assets represented by portfolios with bundled fees as of each annual period end * Firms must disclose any changes to the name of a composite. Firms are not required to disclose the date and reasons for the composite name change
40
Advertisement guidelines for performance
Advertisements must include period-to-date composite performance results in addition to either one-, three-, and five-year annualized composite returns or five years of annual composite returns
41
Advertisements required disclosure
The advertisements must state how prospective client can obtain a compliant presentation and/or the firm’s list of composite descriptions, but that disclosure is not a part of the GIPS compliance statement for advertisements
42
GIPS advertisement definition
For the purposes of these guidelines, an advertisement includes any materials that are distributed to or designed for use in newspapers, magazines, firm brochures, letters, media, or any other written or electronic material addressed to more than one prospective client. Any written material, other than one-on-one presentations and individual client reporting, distributed to maintain existing clients or solicit new clients for a firm is considered an advertisement
43
Compliance claim wording example
* X Asset Management claims compliance with the Global Investment Performance Standards (GIPS®) * Independant verification disclosure is not required
44
Net-of-fees return
Is the gross-of-fees return reduced by investment management fees
45
Gross-of-fees return
Is the return on investments reduced by any transaction expenses incurred during the period
46
When there is less than 6 portfolios in a composite
The number of portfolios and internal dispersion does not have to be reported
47
If large cash flows prohibit the manager from managing the account in that way that is reflecting the manager's style
The account is temporarily non-discretionary and must be excluded from the composite. However, for any full month the account is managed with discretion, it must be included in the composite