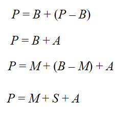
Performance measurement
A component of performance evaluation; the relatively simple procedure of calculating an asset’s or portfolio’s rate of return
Performance attribution
A comparison of an account’s performance with that of a designated benchmark and the identification and quantification of sources of differential returns
Performance appraisal
The evaluation of portfolio performance; a quantitative assessment of a manager’s investment skill
Rate of return with contribution made at the beginning/end of the period
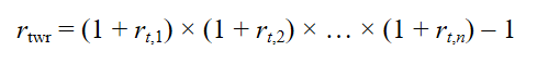
Time-Weighted Rate of Return (TWR)
Money-Weighted Rate of Return (MWR) (same thing as IRR)
TWR versus MWR
Linked Internal Rate of Return LIRR
Chain link of MWRs calculated periodically
Returns due to style and active management
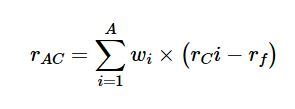
Value-added return on a long–short portfolio where the active weights sum to zero (calculation)
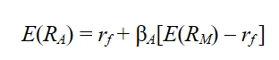
Ex Ante CAPM (SML) over a single period
Ex Post Alpha (also Jensens alpha)
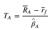
Treynor Measure
Sharpe Ratio
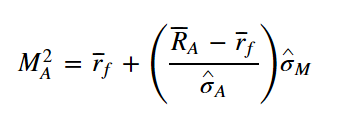
M2
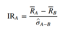
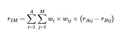
Information Ratio (IR)
Properties of a valid benchmark
Incremental return contribution of the asset category investment strategy
Incremental return contribution of the benchmarks strategy
Incremental return contribution of the active management strategy
Sector weighting/stock selection attribution
Hypothesis testing error types
Target active risk, max sector deviation and max risk contribution for a single security for the 3 following approaches:
Information coefficient (IC) - formula
/
IC is the ex ante risk-weighted correlation
