HC02 - Eiwitstructuren Flashcards

(57 cards)

1
Q

Wat zijn L aminozuren?

A

Een van de twee spiegelbeeld isomeren, genaamd het L isomeer en het D isomeer. Alleen een L aminozuur kan een bouwsteen zijn van een proteïne.

How well did you know this?
1
Not at all
2
3
4
5
Perfectly
2
Q

Wat is een dipolair ion?

A

Een ion dat zowel een positieve als een negatieve lading draagt. Heet ook wel een zwitterion.

How well did you know this?
1
Not at all
2
3
4
5
Perfectly
3
Q

Wat is de standaard structuurformule van een aminozuur?

A
How well did you know this?
1
Not at all
2
3
4
5
Perfectly
4
Q

Noem de 4 groepen waarin aminozuren verdeeld kunnen worden

A
  • Aminozuren met zijketens die bij neutrale pH positief geladen zijn
  • Aminozuren met zijketens die bij neutrale pH negatief geladen zijn
  • Aminozuren die bij neutrale pH geen lading, maar wel een polair karakter hebben
  • Aminozuren met hydrofobe (apolaire) zijketens
How well did you know this?
1
Not at all
2
3
4
5
Perfectly
5
Q

Noem de 9 aminozuren op met hydrofobe zijtakken

A
  • Alanine (ala)
  • Fenylalanine (phe)
  • Glycine (gly)
  • Isoleucine (ile)
  • Leucine (leu)
  • Methionine (met)
  • Proline (pro)
  • Tryptofaan (tyr)
  • Valine (val)
How well did you know this?
1
Not at all
2
3
4
5
Perfectly
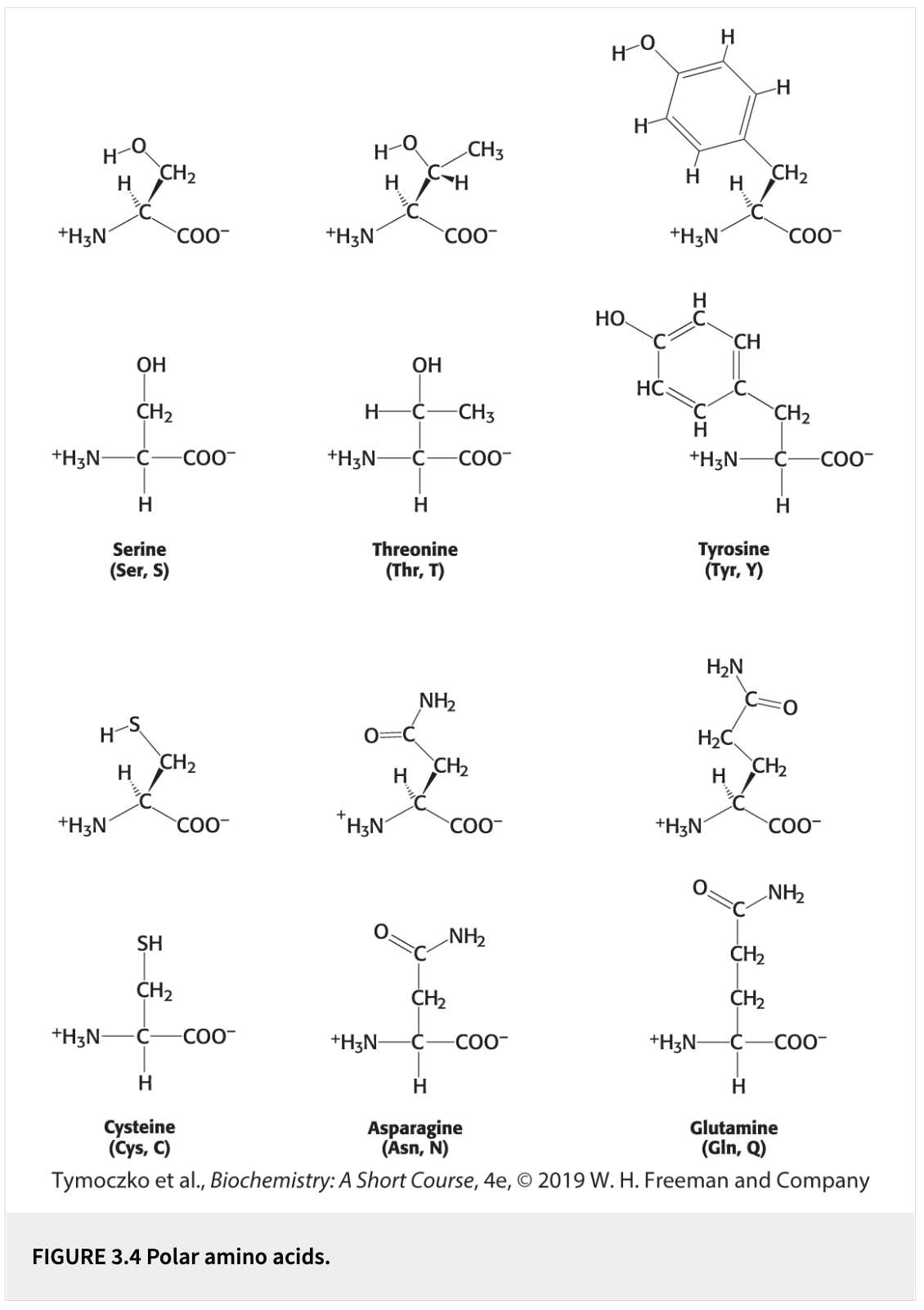
6
Q

Noem de 6 aminozuren die een polair karakter hebben

A
  • Asparagine (asn)
  • Cysteïne (cys)
  • Glutamine (gln)
  • Serine (ser)
  • Threonine (thr)
  • Tyrosine (tyr)
How well did you know this?
1
Not at all
2
3
4
5
Perfectly
7
Q

Noem de 3 positieve aminozuren

A
  • Arginine (Arg)
  • Histidine (His)
  • Lysine (Lys)
How well did you know this?
1
Not at all
2
3
4
5
Perfectly
8
Q

Noem de 2 negatieve aminozuren

A
  • Aspartaat (asp)
  • Glutamaat (glu)
How well did you know this?
1
Not at all
2
3
4
5
Perfectly
9
Q

Wat is er bijzonder aan 7 van de 20 aminozuren?

A

Tyrosine, cysteïne, arginine, lysine, histidine, aspartaat en glutamaat kunnen zowel ionische bindingen vormen als protonen doneren en accepteren voor bepaalde reacties.

How well did you know this?
1
Not at all
2
3
4
5
Perfectly
10
Q

Wat is een essentieel aminozuur?

A

Een aminozuur dat niet gesynthetiseerd kan worden en dus in het dieet moet worden opgenomen.

How well did you know this?
1
Not at all
2
3
4
5
Perfectly
11
Q

Wat is een peptide binding?

A

De binding tussen aminozuren om zo een eiwit te vormen. Het is een verbinding tussen een carboxyl groep van het ene aminozuur en een aminogroep van het andere aminozuur.

How well did you know this?
1
Not at all
2
3
4
5
Perfectly
12
Q

Wat ontstaat er bij de vorming van een peptide binding?

A

Een vrij water molecuul

How well did you know this?
1
Not at all
2
3
4
5
Perfectly
13
Q

Hoe noem je een serie van aminozuren die aan elkaar zitten met peptide bindingen?

A

Een polypeptide keten

How well did you know this?
1
Not at all
2
3
4
5
Perfectly
14
Q

Wat is een dalton?

A

Een eenheid van gewicht bijna gelijk aan dat van een waterstof atoom. Het staat gelijk aan 1 g/mol.

(een eiwit met een moleculair gewicht van 50.000 g/mol heeft dus een gewicht van 50.000 daltons)

How well did you know this?
1
Not at all
2
3
4
5
Perfectly
15
Q

Wat is het verschil tussen cysteïne en cystine?

A

Twee cysteïne aminozuren kunnen een cross-link vormen en het resultaat noem je cystine.

How well did you know this?
1
Not at all
2
3
4
5
Perfectly
16
Q

Hoe zal een polypeptide keten zich vormen in water?

A

De hydrofobe zijtakken van de aminozuren zullen naar binnen vouwen, waardoor de hydrofiele takken naar buiten zullen wijzen.

How well did you know this?
1
Not at all
2
3
4
5
Perfectly
17
Q

Bestaat een peptide binding in een proteïne vooral uit trans- of uit cis-verbindingen?

A

Uit trans-verbindingen, omdat bij een cis-verbinding er meestal een botsing ontstaat tussen dezelfde restgroepen.

How well did you know this?
1
Not at all
2
3
4
5
Perfectly
18
Q

Hoe vouwt een eiwit zich normaal gesproeken automatisch?

A

Tot de conformatie met de laagste energie

How well did you know this?
1
Not at all
2
3
4
5
Perfectly
19
Q

Wat zijn de twee belangrijkste motieven bij de ruimtelijke vouwing van polypeptide-ketens? Hoe noem je deze structuren ook wel?

A

α-helix en β-sheets,

Secundaire structuren

How well did you know this?
1
Not at all
2
3
4
5
Perfectly
20
Q

Hoe worden de structuren van de α-helix en β-sheets gestabiliseerd?

A

Door waterstofbruggen tussen -N-H en O=C- groepen van de peptidebindingen

How well did you know this?
1
Not at all
2
3
4
5
Perfectly
21
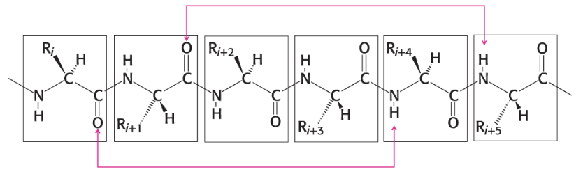
Q

Wat zie je op dit plaatje?

A

Het schema hoe waterstof zal binden. In de α-helix vormt de CO groep van aminozuur ‘n’ een binding met de NH groep van aminozuur ‘n+4’

How well did you know this?
1
Not at all
2
3
4
5
Perfectly
22
Q

Wat is een β-streng?

A

Een polypeptide keten die bijna helemaal is uitgerekt.

How well did you know this?
1
Not at all
2
3
4
5
Perfectly
23
Q

Waaruit bestaat een β-sheet?

A

Uit twee of meerdere β-strengen

24
Q

Wat is het verschil tussen a en b?

A

Bij a zie je twee strengen die in tegenovergestelde richting van elkaar lopen, zogeheten een antiparallel β-sheets.

Bij b zie je twee strengen die in dezelfde richting van elkaar lopen, zogeheten een parallel β-sheets.

25
Wat is een coiled coil?
The α-helixen in elkaar gedraaid. Deze structuren vindt je terug in keratine, zoals van haar en wol
26
Wat voor soort structuur heeft collageen?
Een triple helix
27
Voorbeeld
28
Wat is een supersecundaire structuur?
Een bepaalde combinatie van secundaire structuren die aanwezig zijn in veel eiwitten, die ook vaak dezelfde taak uitvoeren.
29
Wat is een eiwit domein?
Een onafhankelijk gevouwen eenheid in de tertiaire structuur van een polypeptideketen.
30
Voorbeeld
31
Voorbeeld
32
Overzicht
33
Leg aan de hand van prionen uit waarom secundaire en tertiaire structuur belangrijk is voor het goed functioneren van het eiwit.
Prionen (PrPsc ) hebben zelfde primaire sequentie als normaal niet pathogeen eiwit (PrPc ) maar afwijkende secundaire en dus tertiaire structuur
34
Wat is een prion?
Een verkeerd gevouwen eiwit dat ernstige ziektes kan veroorzaken
35
Noem een aantal voorbeelden van prionziekten
* De ziekte van Creutzfeldt-Jakob (CJD) bij mens * Scrapie bij het schaap en de geit * Bovine Spongiform Encephalopathy (BSE) bij runderen (Gekke koeien ziekte, Mad Cow Disease) * Feline Spongiform Encephalopathy (FSE) bij katachtigen * Transmissible Mink Encephalopathy (TME) bij fretten * Chronic Wasting Disease (CWD) bij hertachtigen
36
Hoe wordt een prion gevormd?
Dat is nog niet helemaal bekend.
37
Wat is eiwitaggregatie?
Het biologische fenomeen waarbij verkeerd gevouwen eiwitten samenklonteren en schadelijke effecten teweegbrengen.
38
Waarom veroorzaken prionen (PrPsc ) wel en normaal eiwit (PrPc ) geen problemen in een hersencel?
* Prionen (PrPsc ) hebben een compactere stabiele structuur en kunnen heel moeilijk afgebroken worden door proteases en zullen dus ophopen in de hersencel * Prionen (PrPsc ) kunnen makkelijk samenklonteren tot grote complexen die structuur van hersencel kapot maken
39
Welke van de twee plaatjes is een Fischer weergave en welke is een stereochemische weergave?
A = stereochemische weergave B = Fischer weergave
40
De asymmetrie van een aminozuur is het resultaat van…?
Dat het α-koolstofatoom 4 verschillende groepen gebonden heeft.
41
Is glycine asymmetrisch?
Nee, het heeft geen 4 verschillende zijgroepen
42
Zet bij A t/m E of het geldt voor proline, tyrosine, leucine en lysine
A = leucine, proline B = lysine C = tyrosine, lysine D = tyrosine, lysine E = tyrosine
43
A = 6 B = 2 C = 3 D = 1 E = 4 F = 5
44
Bepaal voor elk van de volgende aminozuurparen welk aminozuur het best oplosbaar is in water: a) Ala, Leu b) Tyr, Phe c) Ser, Ala d) Trp, His
a) Ala b) Tyr c) Ser d) His
45
Wat is de netto lading van het aminozuur glycine bij pH 7? En bij pH 12?
Bij pH 7 is er geen netto lading, bij pH 12 is de netto lading -1
46
Het iso-elektrisch punt (pI) is de pH waarbij een molecuul geen nettolading heeft. Het aminozuur glycine heeft twee ioniseerbare groepen: a) een carboxylzuurgroep met een pKa van 2,72 en b) een aminogroep met een pKa van 9,60. Bereken de pI van glycine.
47
Wat is het verschil tussen een niet-essentieel en een essentieel aminozuur?
Niet-essentiële aminozuren kunnen worden gesynthetiseerd uit andere moleculen in het lichaam. Essentiële aminozuren kunnen dat niet en moeten dus via de voeding worden opgenomen.
48
Welke 3 aminozuren hebben een aromatisch component in hun zijketen?
49
Welke aminozuren hebben een zijketen die kan ioniseren?
Aspartaat, glutamaat, histidine, cysteïne, tyrosine, lysine en arginine
50
Een aminozuur met twee ioniseerbare groepen kan in vier mogelijke ionisatietoestanden voorkomen. Teken de vier mogelijke ionisatietoestanden voor alanine en geef aan welke toestand overheerst bij pH 1, pH 7 en pH 11.
51
Voor een aminozuur als alanine is de belangrijkste soort in oplossing bij pH 7 de zwitterionische vorm. Ga uit van een pKa waarde van 8 voor de aminogroep en een pKa waarde van 3 voor het carboxylzuur. Schat de verhouding tussen de concentratie van het neutrale aminozuur (met het carboxylzuur geprotoneerd en de aminogroep neutraal) en die van het zwitterionzuur bij pH 7.
Als je de Henderson-Hasselbalch vergelijking gebruikt, vind je dat de ratio van alaline-COOH tot alanine-COO- bij pH 7, 10-4 is. De ratio van alanine-NH2 tot alanine-NH3+ is 10-1. De ratio van het neutrale aminozuur tot het zwitterion is dus 10-5 (10-4 \* 10-1).
52
Bepaal de pKa voor de carboxyl-groep en de amino-groep van dit aminozuur
Bedenk dat de pKa de pH is waarbij de concentratie van de niet geïoniseerde vorm van een molecuul gelijk is aan de geïoniseerde vorm. De carboxylgroep in figuur 3.2 heeft een pKa van iets meer dan 2, terwijl de aminogroepen een pKa van 9 hebben.
53
De R-groep van lysine heeft een aminogroep die positief geladen kan zijn of een proton kan verliezen om neutraal te worden. De pKa waarde van de aminogroep is 10,8. Bepaal de fractie van de aminogroep die geprotoneerd is bij pH=9,8 en pH=11,8
54
Glutaminezuur heeft een R-groep dat een carboxyl-groep bevat waarvan de pKa 4,1 is. Welk gedeelte van de R-groep carbonzuur is geprotoneerd bij pH=2,1 en pH=7,1?
55
Wat is de amino terminus van de tripeptide Gly-Ala-Asp?
Glycine
56
Wat is ongeveer het moleculaire gewicht van een proteïne die bestaat uit 300 aminozuren?
Het gemiddelde moleculaire gewicht van aminozuren is 110. Een proteïne met 300 aminozuren heeft dan een gewicht van gemiddeld 33.000
57
Hoeveel aminozuren heb je gemiddeld nodig om een proteïne te vormen met een moleculair gewicht van 110.000?